JBCS

3:48, Tue Oct 7

Open Access/APCs

First slide
Second slide
Third slide
Third slide
Fifth slide
Sixth slide

vol. 21, No. 11, 2010, p. 2019-2172

Special Issue on the III Brazilian Meeting on the Selenium and Tellurium Chemistry




Editorial J. Braz. Chem. Soc. 2010, 21(11), 2019-2020

III Brazilian Meeting on the Selenium and Tellurium Chemistry

Antonio L. Braga; João V. Comasseto

How to cite this article

 

https://dx.doi.org/10.1590/S0103-50532010001100001

Total access: 1603


Communication J. Braz. Chem. Soc. 2010, 21(11), 2023-2026

Enantiomeric Excess Detection with (S)-3-Phenyl-2- (selenophenyl)propan-1-ol Derivatizing Agent via Mix and Shake 77Se NMR

Jeiely G. Ferreira; Simone M. C. Gonçalves

How to cite this article

 

https://dx.doi.org/10.1590/S0103-50532010001100002

Published online: August 31, 2010

 

Share PDF

Total access: 1089


Review J. Braz. Chem. Soc. 2010, 21(11), 2027-2031

Selenium and Tellurium Chemistry: Historical Background

João V. Comasseto

How to cite this article

 

https://dx.doi.org/10.1590/S0103-50532010001100003

Published online: August 5, 2010

 

Share PDF

Total access: 1240


J. Braz. Chem. Soc. 2010, 21(11), 2032-2041

Catalytic Application of Selenium and Tellurium Compounds as Glutathione Peroxidase Enzyme Mimetics

Eduardo E. Alberto; Vanessa do Nascimento; Antonio L. Braga

How to cite this article

 

https://dx.doi.org/10.1590/S0103-50532010001100004

Published online: August 24, 2010

 

Share PDF

Total access: 1568


J. Braz. Chem. Soc. 2010, 21(11), 2042-2054

Reactive Organometallics from Organotellurides: Application in Organic Synthesis

Jefferson L. Princival; Alcindo A. Dos Santos; João V. Comasseto

How to cite this article

 

https://dx.doi.org/10.1590/S0103-50532010001100005

Published online: August 5, 2010

 

Share PDF

Total access: 1139


J. Braz. Chem. Soc. 2010, 21(11), 2055-2071

Diphenyl Diselenide a Janus-Faced Molecule

Cristina W. Nogueira; João B. T. Rocha

How to cite this article

 

https://dx.doi.org/10.1590/S0103-50532010001100006

Published online: August 10, 2010

 

Share PDF

Total access: 1727


Articles J. Braz. Chem. Soc. 2010, 21(11), 2072-2078

N-Functionalized Organolithium Compounds via Tellurium/Lithium Exchange Reaction

Fabricio Vargas; Fabiano T. Toledo; João V. Comasseto

How to cite this article

 

https://dx.doi.org/10.1590/S0103-50532010001100007

Published online: August 27, 2010

 

Share PDF   Supplementary Information 

Total access: 2630


J. Braz. Chem. Soc. 2010, 21(11), 2079-2087

Transition Metal Oxide Nanopowder and Ionic Liquid: an Efficient System for the Synthesis of Diorganyl Selenides, Selenocysteine and Derivatives

Senthil Narayanaperumal; Kashif Gul; Cristiane Y. Kawasoko; Devender Singh; Luciano Dornelles; Oscar E. D. Rodrigues; Antonio L. Braga

How to cite this article

 

https://dx.doi.org/10.1590/S0103-50532010001100008

Published online: July 8, 2010

 

Share PDF

Total access: 1096


J. Braz. Chem. Soc. 2010, 21(11), 2088-2092

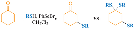
PhSeBr-Catalyzed Selective Addition of Thiols to α, β-Unsaturated Carbonyl Compounds: Regioselective Synthesis of Thioacetals vs. β-Mercapto Ketones

Caroline C. Schneider; Flávia Manarin; Rodrigo B. Panatieri; Olga S. R. Barros; Gilson Zeni

How to cite this article

 

https://dx.doi.org/10.1590/S0103-50532010001100009

Published online: July 8, 2010

 

Share PDF   Supplementary Information 

Total access: 2529


J. Braz. Chem. Soc. 2010, 21(11), 2093-2099

NaBH4/[bmim]BF4: a New Reducing System to Access Vinyl Selenides and Tellurides

Eder J. Lenardão; Lóren C. C. Gonçalves; Samuel R. Mendes; Maiara T. Saraiva; Diego Alves; Raquel G. Jacob; Gelson Perin

How to cite this article

 

https://dx.doi.org/10.1590/S0103-50532010001100010

Published online: July 13, 2010

 

Share PDF

Total access: 1195


J. Braz. Chem. Soc. 2010, 21(11), 2100-2107

An Evaluation of the Chalcogen Atom Effect on the Mesomorphic and Electronic Properties in a New Homologous Series of Chalcogeno Esters

Daniel S. Rampon; Fabiano S. Rodembusch; Paulo F. B. Gonçalves; Rogério V. Lourega; Aloir A. Merlo; Paulo H. Schneider

How to cite this article

 

https://dx.doi.org/10.1590/S0103-50532010001100011

Published online: July 13, 2010

 

Share PDF   Supplementary Information 

Total access: 2203


J. Braz. Chem. Soc. 2010, 21(11), 2108-2118

Chemoenzymatic Synthesis of Organoselenium(IV) Compounds and their Evaluation as Cysteine Protease Inhibitors

Leandro Piovan; Márcio F. M. Alves; Luiz Juliano; Dieter Brömme; Rodrigo L. O. R. Cunha; Leandro H. Andrade

How to cite this article

 

https://dx.doi.org/10.1590/S0103-50532010001100012

Published online: July 20, 2010

 

Share PDF   Supplementary Information 

Total access: 2356


J. Braz. Chem. Soc. 2010, 21(11), 2119-2124

Genetic Toxicity of three Symmetrical Diselenides in Yeast

Renato M. Rosa; Temenouga N. Guecheva; Iuri M. de Oliveira; Antônio L. Braga; João A. P. Henriques

How to cite this article

 

https://dx.doi.org/10.1590/S0103-50532010001100013

Published online: July 27, 2010

 

Share PDF

Total access: 1150


J. Braz. Chem. Soc. 2010, 21(11), 2125-2129

Addition of Thiols to Phenylselenoalkynes using KF/Alumina under Solvent-Free Conditions

Renata G. Lara; Elton L. Borges; Eder J. Lenardão; Diego Alves; Raquel G. Jacob; Gelson Perin

How to cite this article

 

https://dx.doi.org/10.1590/S0103-50532010001100014

Published online: August 5, 2010

 

Share PDF

Total access: 1144


J. Braz. Chem. Soc. 2010, 21(11), 2130-2137

Diphenyl Ditelluride Induces Neurotoxicity and Impairment of Developmental Behavioral in Rat Pups

Simone Pinton; Cristiane Luchese; Eluza C. Stangherlin; Silvane S. Roman; Cristina W. Nogueira

How to cite this article

 

https://dx.doi.org/10.1590/S0103-50532010001100015

Published online: August 10, 2010

 

Share PDF

Total access: 1184


J. Braz. Chem. Soc. 2010, 21(11), 2138-2145

Iron-Catalyzed Coupling Reactions of Vinylic Chalcogenides with Grignard Reagents

Claudio C. Silveira; Samuel R. Mendes; Lucas Wolf

How to cite this article

 

https://dx.doi.org/10.1590/S0103-50532010001100016

Published online: August 12, 2010

 

Share PDF

Total access: 1160


J. Braz. Chem. Soc. 2010, 21(11), 2146-2153

Synthesis and Characterization of [Cd8Cl2Se(SePh)12(PCy3)2]·2.5CH3OH

Rafael Stieler; Fabrício Bublitz; Robert A. Burrow; Gelson N. Manzoni de Oliveira; Marcos A. Villetti; Marcelo B. Pereira; Paulo Piquini; Ernesto S. Lang

How to cite this article

 

https://dx.doi.org/10.1590/S0103-50532010001100017

Published online: September 10, 2010

 

Share PDF   Supplementary Information 

Total access: 1971


J. Braz. Chem. Soc. 2010, 21(11), 2155-2163

2-Chlorovinyl Tellurium Dihalides, (p-tol)Te[C(H)=C(Cl)Ph]X2 for X = Cl, Br and I: Variable Coordination Environments, Supramolecular Structures and Docking Studies in Cathepsin B

Ignez Caracelli; Julio Zukerman-Schpector; Stella H. Maganhi; Hélio A. Stefani; Rafael Guadagnin; Edward R. T. Tiekink

How to cite this article

 

https://dx.doi.org/10.1590/S0103-50532010001100018

Published online: August 17, 2010

 

Share PDF   Supplementary Information 

Total access: 2213


Short Reports J. Braz. Chem. Soc. 2010, 21(11), 2164-2168

Selenostannylation of Arynes Produced by Silylaryl Triflates under Mild Reaction Conditions

Fabiano T. Toledo; João V. Comasseto; Cristiano Raminelli

How to cite this article

 

https://dx.doi.org/10.1590/S0103-50532010001100019

Published online: July 8, 2010

 

Share PDF   Supplementary Information 

Total access: 2359


J. Braz. Chem. Soc. 2010, 21(11), 2169-2172

Stereoselective Synthesis of 2,3-unsaturated-O-Glycosides promoted by TeBr4

Juliano C. R. Freitas; João R. de Freitas; Paulo H. Menezes

How to cite this article

 

https://dx.doi.org/10.1590/S0103-50532010001100020

Published online: August 5, 2010

 

Share PDF

Total access: 1122

Online version ISSN 1678-4790 Printed version ISSN 0103-5053
Journal of the Brazilian Chemical Society
JBCS Editorial and Publishing Office
University of Campinas - UNICAMP
13083-970 Campinas-SP, Brazil

Free access

GN1