JBCS

9:16, Thu Nov 13

Open Access/APCs

First slide
Second slide
Third slide
Third slide
Fifth slide
Sixth slide

vol. 24, No. 11, 2013, p. 1707-1886

 

A New Era of SBQ Publications

The discussion regarding the impact of Internet on the lives of human beings became a cliché at the end of the last century. Internet has transformed people's daily lives - their lifestyles, work, and interaction with the world. Scientific community embraced this revolution much before it became popular. The adoption of Internet and its tools by the scientific community was both intuitive and overwhelming, with no time for preambles or options. Our lives today cannot be compared with the times not so long ago when dissertations were printed in mimeographs, stand-by computers were the size of refrigerators, "Chemical Abstracts" weighed two kilos per volume, and publications, whether old or new, were consulted when available at the "journals" section of the library. The 21st century scientist generates a PDF copy of his thesis that is available via web on pocket-size cell phones, and its bibliographical research, which covers practically 100% of all articles ever published, is obtained within fractions of seconds from several publicly available databases, while the access to the original articles. well, we now have the "Periódicos CAPES" portal; what more could we ask for?

(Read more at Editorial)


Cover Article
J. Braz. Chem. Soc. 2013, 24(11), 1871-1879

Polyelectrolyte and Non-Polyelectrolyte Polyacrylamide Copolymer Solutions: the Role of Salt on the Intra- and Intermolecular Interactions

Ana M. S. Maia; Marcos A. Villetti; Redouane Borsali; Rosangela C. Balaban

How to cite this article

The pattern of light scattering may be used to identify inter and intramolecular interactions of macromolecules, such as polymers. However, when there are more than one relaxation mode its interpretation is not always easy, and may lead to misunderstandings. This is the case of hydrophobically modified polyacrylamides, with or without charges. Details are presented in the Article Polyelectrolyte and Non-Polyelectrolyte Polyacrylamide Copolymers Solutions: the Role of Salt on the Intra- and Intermolecular Interactions by Ana M. S. Maia, Marcos A. Villetti, RedouaneBorsali and Rosangela C. Balaban on page 1871.

https://dx.doi.org/10.5935/0103-5053.20130234

Published online: September  25, 2013
Share PDF

Total access: 3024


Editorial J. Braz. Chem. Soc. 2013, 24(11), 1707-1710

Review J. Braz. Chem. Soc. 2013, 24(11), 1711-1718

Analytical Methods to Assess Carbonyl Compounds in Foods and Beverages

Vanessa M. Osório; Zenilda L. Cardeal

How to cite this article

 

Carbonyl compounds are widely found in food products such as fried food. A derivatizing agent (2,4-dinitrophenylhydrazine) in conjunction with a chromatographic mass spectrometry system is the usual method to assess carbonyl compounds in foods and beverages.

https://dx.doi.org/10.5935/0103-5053.20130236

Published online: September 27, 2013

 

Share PDF

Total access: 1899


Articles J. Braz. Chem. Soc. 2013, 24(11), 1719-1731

Pluriannual Watershed Discharges of Hg into a Tropical Semi-Arid Estuary of the Jaguaribe River, NE Brazil

Luiz D. Lacerda; Francisco J. S. Dias; Rozane V. Marins; Talita M. Soares; José Marcos O. Godoy; Maria Luiza D. P. Godoy

How to cite this article

 

Estuarine hydrodynamics under semiarid climate and the effects on Hg export to the sea in the Jaguaribe Estuary, NE Brazil.

https://dx.doi.org/10.5935/0103-5053.20130216

Published online: September 4, 2013

 

Share PDF

Total access: 1812


J. Braz. Chem. Soc. 2013, 24(11), 1732-1738

A Computational Study of the Complex Dichlorobis(pyrazinamido)platinum(II), [PtCl2(PZA)2], Applying a Mixed-Level Factorial Design

Paola Araujo S. Oliveira; Lucas M. Sartori; Nicolás A. Rey; Hélio F. Dos Santos; Marcone Augusto L. De Oliveira; Luiz Antônio S. Costa

How to cite this article

 

A computational search (DFT) for the most stable structure of Pt(II)-PZA complex was performed associated to a mixed-level factorial design (5x3). Such statistical scheme allowed us to optimize system stability and interaction effects, among others.

https://dx.doi.org/10.5935/0103-5053.20130217

Published online: September 4, 2013

 

Share PDF   Supplementary Information 

Total access: 2954


J. Braz. Chem. Soc. 2013, 24(11), 1739-1743

Hydrocyanation of Sulfonylimines Using Potassium Hexacyanoferrate(II) as an Eco-Friendly Cyanide Source

Zheng Li; Rongzhi Li; Huanhuan Zheng; Fei Wen; Hongbo Li; Junjun Yin; Jingya Yang

How to cite this article

 

An eco-friendly hydrocyanation method for sulfonylimines using non-toxic, nonvolatile and inexpensive potassium hexacyanoferrate(II) as an original cyanide source has been developed.

https://dx.doi.org/10.5935/0103-5053.20130218

Published online: September 4, 2013

 

Share PDF   Supplementary Information 

Total access: 3153


J. Braz. Chem. Soc. 2013, 24(11), 1744-1753

Optimization of Electrophoretic Separations of Thirteen Phenolic Compounds using Single Peak Responses and an Interactive Computer Technique

Carlos Alberto P. Câmara; Joao Bortoloti; Ieda S. Scarminio; Cristiano A. Ballus; Adriana D. Meinhart; Helena T. Godoy; Roy E. Bruns

How to cite this article

 

Experimental design-computer interactive simulation of an electropherogram is developed. The colored lines are calculated using response surface models. The corresponding experimental electropherogram is below.

https://dx.doi.org/10.5935/0103-5053.20130219

Published online: September 6, 2013

 

Share PDF

Total access: 1832


J. Braz. Chem. Soc. 2013, 24(11), 1754-1763

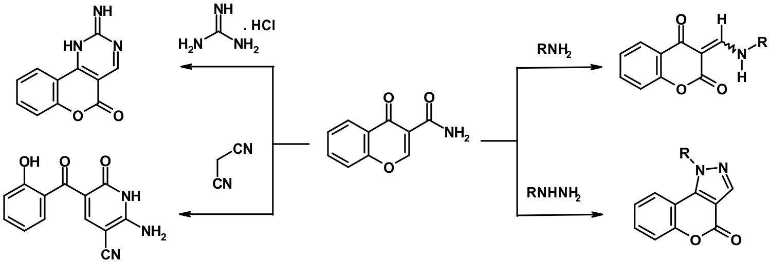
Ring Transformation of Chromone-3-Carboxamide under Nucleophilic Conditions

Magdy A. Ibrahim

How to cite this article

 

A variety of heterocyclic systems was obtained from ring transformation of chromone-3-carboxamide under nucleophilic conditions.

https://dx.doi.org/10.5935/0103-5053.20130220

Published online: September 11, 2013

 

Share PDF   Supplementary Information 

Total access: 2918


J. Braz. Chem. Soc. 2013, 24(11), 1764-1771

Efficiencies of Acid and Base-Catalyzed Methylation of Vegetable Oils by Ambient Mass Spectrometry

Oscar O. Santos Júnior; Paula F. Montanher; Elton G. Bonafé; Swami A. Maruyama; Fabiana Carbonera; Rosana M. Alberici; Marcos N. Eberlin; Jesuí V. Visentainer

How to cite this article

 

This work aimed at comparing the performance of acid and base-catalyzed soybean oil methylation methods used for FA analysis. For this comparison, gas chromatography (GC) and easy ambient sonic spray ionization (EASI-MS) were used for chemical monitoring.

https://dx.doi.org/10.5935/0103-5053.20130221

Published online: September 11, 2013

 

Share PDF

Total access: 1776


J. Braz. Chem. Soc. 2013, 24(11), 1772-1780

Electropolymerized Supramolecular Tetraruthenated Porphyrins Applied as a Voltammetric Sensor

Monize M. da Silva; Gabriel H. Ribeiro; Alzir A. Batista; Anizio M. de Faria; André L. Bogado; Luis R. Dinelli

How to cite this article

 

The supramolecular tetraruthenated porphyrins, {Mn-TPyP(H2O)2[RuCl3(dppb)]4}PF6, was immobilized on a glassy carbon electrode by electropolymerization and used as a sensor for acetaminophen.

https://dx.doi.org/10.5935/0103-5053.20130222

Published online: September 11, 2013

 

Share PDF   Supplementary Information 

Total access: 3024


J. Braz. Chem. Soc. 2013, 24(11), 1781-1788

QSAR Models of Reaction Rate Constants of Alkenes with Ozone and Hydroxyl Radical

Yueyu Xu; Xinliang Yu; Shihua Zhang

How to cite this article

 

Quantum chemical descriptors for QSAR models of reaction rate constants kO3 and kOH of alkenes with ozone and OH radical were obtained from ground-state and transition-state structures of degradation processes. The present work tests that transition states have important effects on kO3 and kOH of degradation processes. Our models overcome the defect of literature models that only used the ground-state descriptors to build QSAR models for kO3 and kOH.

https://dx.doi.org/10.5935/0103-5053.20130223

Published online: September 13, 2013

 

Share PDF   Supplementary Information 

Total access: 2708


J. Braz. Chem. Soc. 2013, 24(11), 1789-1797

Copper(II) and Nickel (II) Complexation Capacity of Dissolved Organic Matter from Rivers of Agricultural and Urban Areas in the State of São Paulo

Amanda M. Tadini; Mariele B. Campanha; Altair B. Moreira; Márcia C. Bisinoti

How to cite this article

 

In the present work was evaluated the complexation capacity and conditional stability constant of organic matter from typical agricultural areas and from urban areas with copper and nickel ions was evaluated using a luminescence spectrofluorometer.

https://dx.doi.org/10.5935/0103-5053.20130224

Published online: September 13, 2013

 

Share PDF

Total access: 1660


J. Braz. Chem. Soc. 2013, 24(11), 1798-1807

Molecular Modeling and Anticholinesterasic Activity of Novel 2-Arylaminocyclohexyl N,N-Dimethylcarbamates

Mariane C. Bagatin; Augusto A. Cândido; Glaucia M. S. Pinheiro; Nelci F. Höehr; Miguel Machinski Jr.; Simone A. G. Mossini; Ernani A. Basso; Gisele F. Gauze

How to cite this article

 

The novel synthesized carbamates are selective inhibitors of the BuChE enzyme. According to molecular docking calculations, the carbamoyl group is close to the key residues of the catalytic triad.

https://dx.doi.org/10.5935/0103-5053.20130225

Published online: September 13, 2013

 

Share PDF   Supplementary Information 

Total access: 3049


J. Braz. Chem. Soc. 2013, 24(11), 1808-1817

Spectrophotometric Determination of Trace Amounts of Uranium(VI) using Modified Magnetic Iron Oxide Nanoparticles in Environmental and Biological Samples

Gholamreza Khayatian; Shahed Hassanpoor; Amir R. J. Azar; Sajjad Mohebbi

How to cite this article

 

A Fe3O4 magnetic nanoparticle modified by sodium dodecyl sulfate was synthesized for preconcentration and determination of uranium(VI) as an uranium(VI)-oxine complex. The method shows appropriate detectability, linearity, precision and accuracy and can be applied for the analyses of natural waters, granite rocks, urine and blood serum samples.

https://dx.doi.org/10.5935/0103-5053.20130226

Published online: September 13, 2013

 

Share PDF

Total access: 1843


J. Braz. Chem. Soc. 2013, 24(11), 1818-1831

Reconstructing Historical Changes in Combustion Patterns by Means of Black Carbon and PAH Evaluation in Dated Sediments from Guanabara Bay, Rio de Janeiro

Cristiane R. Mauad; Angela de L. R. Wagener; Cássia de O. Farias; Naira M. S. Ruiz; Renato S. Carreira; Crisógono Vasconcelos; José M. Godoy; Sonia M. C. de Menezes; Arthur de L. Scofield

How to cite this article

 

The figure shows the micrography of black carbon spheres and its elementary composition in sediment sample of Guanabara Bay by SEM/EDX.

https://dx.doi.org/10.5935/0103-5053.20130227

Published online: September 18, 2013

 

Share PDF   Supplementary Information 

Total access: 2896


J. Braz. Chem. Soc. 2013, 24(11), 1832-1839

Cold-Induced Aggregation Microextraction Technique based on Ionic Liquid for Preconcentration and Determination of Nickel in Food Samples

Bahram Ebrahimi; Soleiman Bahar; Seyde Elham Moedi

How to cite this article

 

This scheme shows the proposed method for the determination of nickel after preconcentration using cold-induced aggregation microextraction (CIAME).

https://dx.doi.org/10.5935/0103-5053.20130228

Published online: September 18, 2013

 

Share PDF

Total access: 2499


J. Braz. Chem. Soc. 2013, 24(11), 1840-1845

Alternative and Simple Normal-Phase HPLC Enantioseparation of a Chiral Amino Acid-Type Spin Label Derivative

Joao P. F. Vieira; Erick F. Poletti; Renata F. F. Vieira; Vinicius Veredas; Cesar C. Santana; Clovis R. Nakaie

How to cite this article

 

Enantioseparation of trans-Fmoc-POAC spin label.

https://dx.doi.org/10.5935/0103-5053.20130229

Published online: September 18, 2013

 

Share PDF   Supplementary Information 

Total access: 2743


J. Braz. Chem. Soc. 2013, 24(11), 1846-1856

Developing a Sensor for the Simultaneous Determination of Dopamine, Acetaminophen and Tryptophan in Pharmaceutical Samples Using a Multi-Walled Carbon Nanotube and Oxadiazole Modified Glassy Carbon Electrode

Navid Nasirizadeh; Zahra Shekari; Hamid R. Zare; Seied A. Y. Ardakani; Hamid Ahmar

How to cite this article

 

Oxadiazole derivative on multi-walled carbon nanotubes glassy carbon electrode was constructed by electrodeposition of oxadiazole on a MWCNT modified GCE. OMWCNT-GCE exhibits excellent electrocatalytic activity for dopamine oxidation. This modified electrode resolved the overlapping of the anodic peaks DA, AC and Trp.

https://dx.doi.org/10.5935/0103-5053.20130230

Published online: September 20, 2013

 

Share PDF

Total access: 1727


J. Braz. Chem. Soc. 2013, 24(11), 1857-1863

New Isoflavones from the Leaves of Vatairea guianensis Aublé

Ronilson Freitas de Souza; Victor H. S. Marinho; Geilson A. da Silva; Livio M. Costa-Jr; Joyce Kelly R. da Silva; Gilmara N. T. Bastos; Alberto C. Arruda; Milton N. da Silva; Mara Silvia P. Arruda

How to cite this article

 

Isoflavones 1-3 are new natural products isolated from the leaves of Vatairea guianensis Aublé. The ethanol extract from the leaves and the isolated compounds (1-3) were evaluated for their potential scavenging DPPH.

https://dx.doi.org/10.5935/0103-5053.20130231

Published online: September 20, 2013

 

Share PDF   Supplementary Information 

Total access: 2923


J. Braz. Chem. Soc. 2013, 24(11), 1864-1870

Immobilization of Cobalt Phthalocyanine and Tetrasulfophthalocyanine onto MCM-41 and MCM-48: Effect of Immobilization Method on Catalytic Activity

Mahtab Pirouzmand; Mostafa M. Amini; Nasser Safari; Touba Hamoule

How to cite this article

 

Cobalt tetrasulfophthalocyanine was anchored onto the surface of NH2-MCM-41 and NH2-MCM-48. Physical mixtures of CoPc in MCM-41 and in MCM-48 were also prepared. The catalytic properties of these materials were studied in the aerobic epoxidation of cyclohexene.

https://dx.doi.org/10.5935/0103-5053.20130233

Published online: September 25, 2013

 

Share PDF   Supplementary Information 

Total access: 2809


J. Braz. Chem. Soc. 2013, 24(11), 1871-1879

Polyelectrolyte and Non-Polyelectrolyte Polyacrylamide Copolymer Solutions: the Role of Salt on the Intra- and Intermolecular Interactions

Ana M. S. Maia; Marcos A. Villetti; Redouane Borsali; Rosangela C. Balaban

How to cite this article

 

This work supports the existence of a slow relaxation mode in polymer solutions due to diffusion and the internal motions of these transient clusters for poly(acrylamide-co-dihexylacrylamide) (PAHM-0) and poly(acrylamide-co-sodium acrylate-co-dihexylacrylamide) (PAHM-21) to the self-diffusion of individual chains retarded by interchain friction.

https://dx.doi.org/10.5935/0103-5053.20130234

Published online: September 25, 2013

 

Share PDF   Supplementary Information 

Total access: 3024


J. Braz. Chem. Soc. 2013, 24(11), 1880-1886

Assessment of Direct Mercury Analyzer® to Quantify Mercury in Soils and Leaf Samples

Jose J. Melendez-Perez; Anne H. Fostier

How to cite this article

 

A method for mercury quantification in leaves and soil samples by direct sample combustion analysis was assessed and validated.

https://dx.doi.org/10.5935/0103-5053.20130235

Published online: September 27, 2013

 

Share PDF

Total access: 1655

Online version ISSN 1678-4790 Printed version ISSN 0103-5053
Journal of the Brazilian Chemical Society
JBCS Editorial and Publishing Office
University of Campinas - UNICAMP
13083-970 Campinas-SP, Brazil

Free access

GN1