JBCS

19:05, Wed Oct 8

Open Access/APCs

First slide
Second slide
Third slide
Third slide
Fifth slide
Sixth slide

vol. 26, No. 11, 2015, p. 2169-2388

 

Chemistry of Our Oceans

I believe that our planet should have been named Water, instead of Earth. Oceans cover most of the surface of our planet! In fact, Earth's oceans hold about 1.5 x 1018 tons of water, which in turn contains an enormous amount of dissolved salts. As a result, a lot of chemistry is taking place in the oceans.
Oceans play a central role in the climate of our planet; provide several ecological services such as food provision, energy, transport, nutrient cycling, and biodiversity, among others. Given the importance of the ocean for humankind, and the increase pressure they are under, it is timely to improve our knowledge and prioritize ocean issues that are covered in the chemical oceanography.

(Read more at Editorial)


Cover Article
J. Braz. Chem. Soc. 2015, 26(11), 2290-2297

Cinerascetins, New Peptides from Hypsiboas cinerascens: MALDI LIFT-TOF-MS/MS de novo Sequence and Imaging Analysis

Richardson A. Almeida; Marcelo Gordo; Felipe M. A. da Silva; Rafael C. de Araújo; Marcelo H. S. Ramada; Fernando Y. Abrao; Túlio O. G. Costa; Hector H. F. Koolen; Afonso D. L. de Souza; Carlos Bloch Jr

How to cite this article

The number of antibiotic-resistant microbes increases each year, whereas the number of new antibiotics does not follow the same rate, encouraging different surveys focusing on new active substances. From an expedition into the Amazon Rain Forest different green-tree frog (Hypsiboas cinerascens) specimens were captured and chemically studied aiming the discovery of new antimicrobial substances. Details are presented in the Article Cinerascetins, New Peptides from Hypsiboas cinerascens: MALDI LIFT-TOF-MS/MS de novo Sequence and Imaging Analysis by Richardson A. Almeida, Marcelo Gordo, Felipe M. A. da Silva, Rafael C. de Araújo, Marcelo H. S. Ramada, Fernando Y. Abrao, Túlio O. G. Costa, Hector H. F. Koolen, Afonso D. L. de Souza and Carlos Bloch Jr. on page 2290.

https://dx.doi.org/10.5935/0103-5053.20150219

Published online: August  28, 2015
Share PDF

Total access: 3033


Editorial J. Braz. Chem. Soc. 2015, 26(11), 2169-2170

Chemistry of Our Oceans

Vanessa Hatje

How to cite this article

 

https://dx.doi.org/10.5935/0103-5053.20150285

Total access: 2867


Communication J. Braz. Chem. Soc. 2015, 26(11), 2171-2174

Metal Oxide/Gold Hybrid Nanocomposites as Electrocatalysts for Alkaline Air Electrodes

Anielli M. Pasqualeti; Francisca E. R. Oliveira; Fabio H. B. Lima

How to cite this article

 

MnCo2O4/Au exhibited a synergistic effect boosting the oxygen reduction and evolution. In situ X-ray absorption near edge structure (XANES) revealed that MnIII-CoII play a role in the reduction. Au induced the increase in the CoIV amount, favoring the oxygen evolution.

https://dx.doi.org/10.5935/0103-5053.20150232

Published online: September 9, 2015

 

Share PDF   Supplementary Information 

Total access: 2617


Review J. Braz. Chem. Soc. 2015, 26(11), 2175-2188

Zinc, Lithium and Magnesium Carbenoids: Chemical Properties and Relevant Applications in Organic Synthesis

Rodolfo H. V. Nishimura; Valter E. Murie; Rafael A. Soldi; Joao L. C. Lopes; Giuliano C. Clososki

How to cite this article

 

The ambiphilic character of carbenoids, represented by the chinese yin yang, shows how apparently opposite forces can be complementary in organic synthesis.

https://dx.doi.org/10.5935/0103-5053.20150218

Published online: August 28, 2015

 

Share PDF

Total access: 1901


Articles J. Braz. Chem. Soc. 2015, 26(11), 2189-2194

Volatile Organic Compounds from Filamentous Fungi: a Chemotaxonomic Tool of the Botryosphaeriaceae Family

Francisco C. Oliveira; Francisco G. Barbosa; Jair Mafezoli; Maria C. F. Oliveira; André L. M. Camelo; Elisane Longhinotti; Ari C. A. Lima; Marcos P. S. Câmara; Francisco J. T. Gonçalves; Francisco C. O. Freire

How to cite this article

 

Volatile organic compounds from ten endophytic fungal species belonging to the Botryosphaeriaceae family were extracted by headspace-solid phase micro-extraction (HS-SPME) and analyzed by gas chromatography-mass spectrometry (GC-MS).

https://dx.doi.org/10.5935/0103-5053.20150204

Published online: August 14, 2015

 

Share PDF   Supplementary Information 

Total access: 3049


J. Braz. Chem. Soc. 2015, 26(11), 2195-2204

Binary Micellar Solutions of Poly(Ethylene Oxide)-Poly(Styrene Oxide) Copolymers with Pluronicr P123: Drug Solubilisation and Cytotoxicity Studies

Samira A. Oliveira; Carolina L. Moura; Igor M. Cavalcante; Amanda Araújo Lopes; Luzia K. A. M. Leal; Nilce V. Gramosa; Maria E. N. P. Ribeiro; Francisco C. F. França; Stephen G. Yeates; Nágila M. P. S. Ricardo

How to cite this article

 

P123 and EmSn binary micelles presented thermorreversible gelation, low critical micelle concentration (cmc), good drug solubilisation capacity and no citotoxicity.

https://dx.doi.org/10.5935/0103-5053.20150205

Published online: August 18, 2015

 

Share PDF

Total access: 1587


J. Braz. Chem. Soc. 2015, 26(11), 2205-2213

Determination of Parabens in Surface Water from Mogi Guaçu River (Sao Paulo, Brazil) Using Dispersive Liquid-Liquid Microextraction Based on Low Density Solvent and LC-DAD

Carlos A. Galinaro; Fabiana M. Pereira; Eny M. Vieira

How to cite this article

 

This study has demonstrated the successful analysis of parabens on surface water samples, collected from Mogi Guaçu River (Sao Paulo state, Brazil), by dispersive liquid-liquid microextraction (DLLME) based on low density solvent (LDS) combined with liquid chromatography with diode array detection (LC-DAD).

https://dx.doi.org/10.5935/0103-5053.20150206

Published online: August 18, 2015

 

Share PDF   Supplementary Information 

Total access: 2619


J. Braz. Chem. Soc. 2015, 26(11), 2214-2223

Facile Method to Tune the Particle Size and Thermal Stability of Magnetite Nanoparticles

Loushambam H. Singh; Sudhanshu S. Pati; Maria J. A. Sales; Edi M. Guimaraes; Aderbal C. Oliveira; Vijayendra K. Garg

How to cite this article

 

Zeolite confines the growth of the magnetite nanoparticles and provides stability, which prevents from agglomeration and oxidation leading to structural transformation.

https://dx.doi.org/10.5935/0103-5053.20150207

Published online: August 21, 2015

 

Share PDF

Total access: 1611


J. Braz. Chem. Soc. 2015, 26(11), 2224-2232

Effects of Methyl-Substituted Phenanthrolines on the Performance of Ruthenium(II) Dye-Sensitizers

Andressa V. Müller; Poliana S. Mendonça; Stéphane Parant; Thibaut Duchanois; Philippe C. Gros; Marc Beley; André S. Polo

How to cite this article

 

Cis-[Ru(Me4-phen)(dcbH2)(NCS)2] was prepared, characterized and employed in dye-sensitized solar cells. The presence of four methyl groups on 1,10-phenanthroline modulates its ground and excited states and the ability to convert sunlight into electrical energy.

https://dx.doi.org/10.5935/0103-5053.20150208

Published online: August 21, 2015

 

Share PDF

Total access: 1710


J. Braz. Chem. Soc. 2015, 26(11), 2233-2240

Essential Oil from Flowers of Solanum stipulaceum: Composition, Effects of γ-Radiation, and Antileukemic Activity

Aura M. B. Osorio; Thiago M. Silva; Lucienir P. Duarte; Vany P. Ferraz; Márcio T. Pereira; Maria O. Mercadante-Simoes; Fernanda C. G. Evangelista; Adriano P. Sabino; Antônio F. C. Alcântara

How to cite this article

 

The essential oil composition of γ-irradiated flowers of Solanum stipulaceum was analyzed by gas chromatography (GC). The cytotoxicity of essential oils from non-irradiated and irradiated flowers was also studied.

https://dx.doi.org/10.5935/0103-5053.20150209

Published online: August 21, 2015

 

Share PDF

Total access: 1573


J. Braz. Chem. Soc. 2015, 26(11), 2241-2248

Discrimination of Annona muricata and Rollinia mucosa Extracts by Using Multivariate Curve Resolution and Partial Least-Squares Regression of Liquid Chromatography-Diode Array Data

Sabrina Afonso; Pablo L. Pisano; Fabiano B. Silva; Ieda S. Scaminio; Alejandro C. Olivieri

How to cite this article

 

Discrimination of Annona muricata and Rollinia mucosa samples processed by multivariate curve resolution-alternating least-squares (MCR-ALS) and discriminant-unfolded partial least-squares (D-UPLS) of high-performance liquid chromatography with diode array detection (HPLC-DAD) data.

https://dx.doi.org/10.5935/0103-5053.20150210

Published online: August 25, 2015

 

Share PDF   Supplementary Information 

Total access: 5103


J. Braz. Chem. Soc. 2015, 26(11), 2249-2257

Removal of Lead(II), Copper(II) and Zinc(II) Ions from Aqueous Solutions Using Magnetic Amine-Functionalized Mesoporous Silica Nanocomposites

Ali Mehdinia; Sahar Shegefti; Farzaneh Shemirani

How to cite this article

 

Fe3O4 nanoparticles were coated with mesoporous silica, MCM-41, and then amino-functionalization was performed on the MCM-41 surface by 3-aminopropyltriethoxysilane through the silanization reaction with hydroxyl groups of MCM-41. Fe3O4@MCM-41-NH2 was used for extraction of some toxic metal ions from aqueous solutions.

https://dx.doi.org/10.5935/0103-5053.20150211

Published online: August 25, 2015

 

Share PDF

Total access: 1663


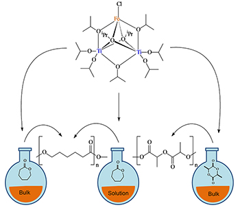
J. Braz. Chem. Soc. 2015, 26(11), 2258-2268

Catalytic Activity of a Titanium(IV)/Iron(II) Heterometallic Alkoxide in the Ring-Opening Polymerization of ε-Caprolactone and rac-Lactide

Siddhartha O. K. Giese; Cristiano Egevardt; André Luis Rüdiger; Eduardo L. Sá; Thiago Alessandre Silva; Sônia F. Zawadzki; Jaísa F. Soares; Giovana G. Nunes

How to cite this article

 

The heterometallic complex [FeCl{Ti2(OiPr)9}] was employed as initiator of ring-opening polymerization of ε-caprolactone and rac-lactide in bulk and in solution. The catalytic performance of the heterometallic complex was compared to the activities of other titanium(IV) and iron(II) complexes.

https://dx.doi.org/10.5935/0103-5053.20150214

Published online: August 28, 2015

 

Share PDF   Supplementary Information 

Total access: 2579


J. Braz. Chem. Soc. 2015, 26(11), 2269-2278

Monitoring of Pesticide Residues in Surface and Subsurface Waters, Sediments, and Fish in Center-Pivot Irrigation Areas

Aderbal A. Rocha; Sérgio H. Monteiro; Graziela C. R. M. Andrade; Franz Z. Vilca; Valdemar L. Tornisielo

How to cite this article

 

This work is about a study of pesticide residue contamination in surface and subsurface waters, sediments and fish of center-pivot irrigation areas. Atrazine was observed below the method quantitation limit in subsurface water.

https://dx.doi.org/10.5935/0103-5053.20150215

Published online: August 28, 2015

 

Share PDF

Total access: 1855


J. Braz. Chem. Soc. 2015, 26(11), 2279-2289

Synthesis and Insecticidal Activity of Lactones Derived from Furan-2(5H)-one

Milena G. Teixeira; Elson S. Alvarenga; Mirian F. Pimentel; Marcelo C. Picanço

How to cite this article

 

Besides the efficiency against insect pests, novel agrochemicals should preferably provide selectivity to non-target species. Therefore, the lactones synthetized in this work are promising as potential novel agrochemicals for the integrated pest management.

https://dx.doi.org/10.5935/0103-5053.20150217

Published online: August 28, 2015

 

Share PDF   Supplementary Information 

Total access: 2696


J. Braz. Chem. Soc. 2015, 26(11), 2290-2297

Cinerascetins, New Peptides from Hypsiboas cinerascens: MALDI LIFT-TOF-MS/MS de novo Sequence and Imaging Analysis

Richardson A. Almeida; Marcelo Gordo; Felipe M. A. da Silva; Rafael C. de Araújo; Marcelo H. S. Ramada; Fernando Y. Abrao; Túlio O. G. Costa; Hector H. F. Koolen; Afonso D. L. de Souza; Carlos Bloch Jr

How to cite this article

 

In this work, new peptides named cinerascetins were identified from skin secretion of the Hypsiboas cinerascens. Imaging analysis localized the peptides on the dorsal tissue. Synthetic cinerascetin-01 was tested against some bacteria and fungi presenting satisfactory antimicrobial activities.

https://dx.doi.org/10.5935/0103-5053.20150219

Published online: August 28, 2015

 

Share PDF   Supplementary Information 

Total access: 3033


J. Braz. Chem. Soc. 2015, 26(11), 2298-2306

Synthesis of 3-(1H-1,2,3-Triazol-1-yl)-2-(arylselanyl)pyridines by Copper-Catalyzed 1,3-Dipolar Cycloaddition of 2-(Arylselanyl)-3-azido-pyridines with Terminal Alkynes

Ricardo F. Schumacher; Patrick B. Von Laer; Eduardo S. Betin; Roberta Cargnelutti; Gelson Perin; Diego Alves

How to cite this article

 

The synthesis of 3-(1H-1,2,3-triazol-1-yl)-2-(arylselanyl)pyridines by copper-catalyzed cycloaddition reaction is presented here.

https://dx.doi.org/10.5935/0103-5053.20150221

Published online: September 1, 2015

 

Share PDF   Supplementary Information 

Total access: 2944


J. Braz. Chem. Soc. 2015, 26(11), 2307-2312

Chemical Constituents of the Seeds of Raphanus sativus and their Biological Activity

Ki Hyun Kim; Eunjung Moon; Seoung Rak Lee; Kyoung Jin Park; Sun Yeou Kim; Sang Un Choi; Kang Ro Lee

How to cite this article

 

Fifteen constituents, including a new phenolic compound, were isolated from the seeds of Raphanus sativus. Some of the isolated compounds showed moderate antiproliferative activities and significant anti-neuroinflammatory effects.

https://dx.doi.org/10.5935/0103-5053.20150222

Published online: September 1, 2015

 

Share PDF   Supplementary Information 

Total access: 2797


J. Braz. Chem. Soc. 2015, 26(11), 2313-2320

Electrosynthesis and Characterisation of Polymer Nanowires from Thiophene and its Oligomers

María Angelica del Valle; Andrea C. Ramos; Fernando R. Diaz; Manuel A. Gacitua

How to cite this article

 

Polythiophene was electrosynthesised as nanowires from the monomer and some of its oligomers on a Pt electrode previously modified with a template.

https://dx.doi.org/10.5935/0103-5053.20150223

Published online: September 1, 2015

 

Share PDF

Total access: 1772


J. Braz. Chem. Soc. 2015, 26(11), 2321-2330

Piperamides from Piper ottonoides by NMR and GC-MS Based Mixture Analysis

Thiago Wolff; Priscila F. P. Santos; Ligia M. M. Valente; Alvicler Magalhaes; Luzineide W. Tinoco; Rita C. A. Pereira; Elsie F. Guimaraes

How to cite this article

 

A new and five known piperamides were unequivocally characterized in mixture from few amounts of semi-purified fractions from fruits, leaves, stems and roots of Piper ottonoides by using nuclear magnetic resonance and gas chromatography-mass spectrometry.

https://dx.doi.org/10.5935/0103-5053.20150226

Published online: September 4, 2015

 

Share PDF   Supplementary Information 

Total access: 2744


J. Braz. Chem. Soc. 2015, 26(11), 2331-2338

Evaluation of Monolithic and Core-Shell Columns for Separation of Triazine Herbicides by Reversed Phase High Performance Liquid Chromatography

Ricardo P. Urio; Jorge C. Masini

How to cite this article

 

Monolithic and core-shell chromatographic columns were evaluated for separation of triazines and some of their metabolites in ultrasound extracted soil.

https://dx.doi.org/10.5935/0103-5053.20150227

Published online: September 4, 2015

 

Share PDF   Supplementary Information 

Total access: 2399


J. Braz. Chem. Soc. 2015, 26(11), 2339-2345

Facile Microwave-Assisted Synthesis of Lanthanide Doped CaTiO3 Nanocrystals

Sandra C. Pereira; Alberthmeiry T. Figueiredo; Cristiano M. Barrado; Marcelo H. Stoppa; Yashashchandra Dwivedi; Maximo S. Li; Elson Longo

How to cite this article

 

Fast synthesis of lanthanide doped CaTiO3 produces a microcube-like structure and a region without well-defined morphology. The structural disorder and observed photoluminescence emission are correlated.

https://dx.doi.org/10.5935/0103-5053.20150229

Published online: September 9, 2015

 

Share PDF

Total access: 1724


J. Braz. Chem. Soc. 2015, 26(11), 2346-2361

Synthesis, Structure Elucidation, Antioxidant and Antimicrobial Activity of Novel 2-(5-Trifluoromethyl-1H-pyrazol-1-yl)-5-(5-trihalomethyl-1H-pyrazol-1-yl-1-carbonyl)pyridines

Helio G. Bonacorso; Susiane Cavinatto; Maiara C. Moraes; Everton P. Pittaluga; Luis R. Peroza; Tarcieli Venturini; Sydney H. Alves; Sílvio T. Stefanello; Félix A. A. Soares; Marcos A. P. Martins; Nilo Zanatta; Clarissa P. Frizzo

How to cite this article

 

Synthesis, structure, antioxidant and antimicrobial activity evaluation of novel 2-(5-trifluoromethyl-1H-pyrazol-1-yl)-5-(5-trihalomethyl-1H-pyrazol-1-yl-1-carbonyl)pyridines bearing two distinct trihalomethyl substituted pyrazole rings.

https://dx.doi.org/10.5935/0103-5053.20150230

Published online: September 9, 2015

 

Share PDF   Supplementary Information 

Total access: 2686


J. Braz. Chem. Soc. 2015, 26(11), 2362-2368

Mechanism of Hop-Derived Terpenes Oxidation in Beer

Natália E. C. de Almeida; Inara de Aguiar; Daniel R. Cardoso

How to cite this article

 

The oxidation of hop-derived terpenes in beer has been shown to occur through a hydrogen atom abstraction by 1-hydroxyethyl radical rather than by an electron transfer mechanism.

https://dx.doi.org/10.5935/0103-5053.20150231

Published online: September 9, 2015

 

Share PDF

Total access: 1830


J. Braz. Chem. Soc. 2015, 26(11), 2369-2378

Optimization of Parameters for Extraction of Avenanthramides from Oat (Avena sativa L.) Grain Using Response Surface Methodology (RSM)

Maria Maliarova; Viera Mrazova; Michaela Havrlentova; Jozef Sokol

How to cite this article

 

The optimization method which combined desirability function with response surface methodology (RSM) models was chosen to find the best extraction conditions for obtaining maximum yield of major avenanthramides from oat grain.

https://dx.doi.org/10.5935/0103-5053.20150233

Published online: September 11, 2015

 

Share PDF

Total access: 1918


Short Report J. Braz. Chem. Soc. 2015, 26(11), 2379-2383

Selective Oxidation of Amorphous Carbon by CO2 to Produce Fe@C Nanoparticles from Bulky Fe/C Matrices

Fernanda G. Mendonça; José D. Ardisson; Rochel M. Lago; Juliana C. Tristao

How to cite this article

 

Fe0 cores encapsulated in a carbon matrix treated with CO2 to selectively oxidize the amorphous carbon and release carbon coated magnetic nanoparticles.

https://dx.doi.org/10.5935/0103-5053.20150212

Published online: August 25, 2015

 

Share PDF   Supplementary Information 

Total access: 2473


J. Braz. Chem. Soc. 2015, 26(11), 2384-2388

Spectrophotometric Determination of Aluminium in Hemodialysis Water

Eder J. Santos; Eduardo B. Fantin; Ronei E. Paixao; Amanda B. Herrmann; Ralph E. Sturgeon

How to cite this article

 

This work describes a simple and fast spectrophotometric method for the determination of aluminium in hemodialysis water employing alizarin red S in the presence of polyvinylpyrrolidone 40.

https://dx.doi.org/10.5935/0103-5053.20150224

Published online: September 1, 2015

 

Share PDF

Total access: 1612

Online version ISSN 1678-4790 Printed version ISSN 0103-5053
Journal of the Brazilian Chemical Society
JBCS Editorial and Publishing Office
University of Campinas - UNICAMP
13083-970 Campinas-SP, Brazil

Free access

GN1