JBCS

19:09, Wed Oct 8

Open Access/APCs

First slide
Second slide
Third slide
Third slide
Fifth slide
Sixth slide

vol. 27, No. 1, 2016, p. 1-226

 

2016, What Lies Ahead?

As we always do at the beginning of every year, we would like to share with you our perspectives for the newyear ahead. Overall, our impression is that this analysis contains mixed feelings. On one hand, the JBCS most important figures remain safely constant: our manuscript processing time remains as low as ever, around 3 months, on average, between submission and on-line publication; the number of submissions has slightly increased since last year and we are close to a healthy submission level of one thousand manuscripts per year, majority of which from authors residing outside Brazil; our rejection rate remains around 65%, and only our impact factor has not raised yet, as much as we would like.

(Read more at Editorial)


Cover Article
J. Braz. Chem. Soc. 2016, 27(1), 15-29

Equilibrium and Out-Of-Equilibrium Investigation of Proton Exchange and CuII and ZnII Complexation on Fungal Mycelium (Trametes hirsuta)

Vicente R. Almeida; Bruno Szpoganicz; Lei Chou; Kitty Baert; Annick Hubin; Steeve Bonneville

How to cite this article

Fungal mycelium is a fundamental component of complex ecological networks with several symbiotic and dissipative properties on terrestrial biogeochemical matrix. The vast presence of mycelium is responsible for the control of chemical potential (e.g. pE and pH) of aqueous phase on soils, contributing to its response (buffering) capacity and the time controlling of physical-chemical conditions, as shown for the model of complex system S. Details are presented in the Article Equilibrium and Out-Of-Equilibrium Investigation of Proton Exchange and CuII and ZnII Complexation on Fungal Mycelium (Trametes hirsuta) by Vicente R. Almeida, Bruno Szpoganicz, Lei Chou, KittyBaert, Annick Hubin and Steeve Bonneville on page 15.

https://dx.doi.org/10.5935/0103-5053.20150236

Published online: September  15, 2015
Share PDF

Total access: 2227


Editorial J. Braz. Chem. Soc. 2016, 27(1), 1

2016, What Lies Ahead?

Watson Loh

How to cite this article

 

https://dx.doi.org/10.5935/0103-5053.20150364

Total access: 2826


Articles J. Braz. Chem. Soc. 2016, 27(1), 2-9

In vitro Anti-HMPV Activity of New Synthetic Phenytoin Derivatives

Gabriella Mendes; Geisa H. Aspesi; Ana L. A. Arruda; Maria T. V. Romanos; Carlos K. Z. Andrade

How to cite this article

 

New derivatives of phenytoin were synthesized, which showed anti-metapneumovirus (HMPV) activity.

https://dx.doi.org/10.5935/0103-5053.20150234

Published online: September 11, 2015

 

Share PDF   Supplementary Information 

Total access: 3158


J. Braz. Chem. Soc. 2016, 27(1), 10-14

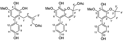
New Biphenyls from Garcinia multiflora

Xue-Mei Gao; Bing-Kun Ji; Yin-Ke Li; Yan-Qing Ye; Zhi-Yong Jiang; Hai-Ying Yang; Gang Du; Min Zhou; Xiao-Xia Pan; Wen-Xing Liu; Qiu-Fen Hu

How to cite this article

 

New biphenyls isolated from Garcinia multiflora.

https://dx.doi.org/10.5935/0103-5053.20150235

Published online: September 15, 2015

 

Share PDF   Supplementary Information 

Total access: 3040


J. Braz. Chem. Soc. 2016, 27(1), 15-29

Equilibrium and Out-Of-Equilibrium Investigation of Proton Exchange and CuII and ZnII Complexation on Fungal Mycelium (Trametes hirsuta)

Vicente R. Almeida; Bruno Szpoganicz; Lei Chou; Kitty Baert; Annick Hubin; Steeve Bonneville

How to cite this article

 

Potentiometric equilibrium and out-of-equilibrium investigation and modeling are shown to be a powerful intermediate technology for transdisciplinary studies of soil complex system.

https://dx.doi.org/10.5935/0103-5053.20150236

Published online: September 15, 2015

 

Share PDF

Total access: 2227


J. Braz. Chem. Soc. 2016, 27(1), 30-40

Anti-Mycobacterium tuberculosis and Cytotoxicity Activities of Ruthenium(II)/Bipyridine/Diphosphine/Pyrimidine-2-thiolate Complexes: The Role of the Non-Coordinated N-Atom

Benedicto A. V. Lima; Rodrigo S. Corrêa; Angelica E. Graminha; Aleksey Kuznetsov; Javier Ellena; Fernando R. Pavan; Clarice Q. F. Leite; Alzir A. Batista

How to cite this article

 

Three new RuII complexes with pyrimidine-2-thiolate, bipy and varying the diphosphinic ligands were obtained. These compounds are promising agents against Mycobacterium tuberculosis and breast cancer cells, MDA-MB-231.

https://dx.doi.org/10.5935/0103-5053.20150237

Published online: September 15, 2015

 

Share PDF

Total access: 1921


J. Braz. Chem. Soc. 2016, 27(1), 41-53

7-Chloroquinoline-1,2,3-triazoyl Carboxylates: Organocatalytic Synthesis and Antioxidant Properties

Maiara T. Saraiva; Roberta Krüger; Rodolfo S. M. Baldinotti; Eder J. Lenardao; Cristiane Luchese; Lucielli Savegnago; Ethel A. Wilhelm; Diego Alves

How to cite this article

 

Quinoline-triazoyl carboxylates were synthesized in moderated to excellent yields and showed potential antioxidant activities.

https://dx.doi.org/10.5935/0103-5053.20150239

Published online: September 18, 2015

 

Share PDF   Supplementary Information 

Total access: 2975


J. Braz. Chem. Soc. 2016, 27(1), 54-61

Development of a Molecularly Imprinted Modified Electrode to Evaluate Phenacetin Based on the Preconcentration of Acetaminophen

Maiara O. Salles; William R. Araujo; Thiago R. L. C. Paixao

How to cite this article

 

A phenacetin-selective molecularly imprinted polymer (MIP) was synthesised and showed a high recognition ability for procaine and aminopyrine. In addition, the MIP also presented the ability to preconcentrate phenacetin and also some intermediates, such as acetaminophen.

https://dx.doi.org/10.5935/0103-5053.20150240

Published online: September 18, 2015

 

Share PDF   Supplementary Information 

Total access: 2690


J. Braz. Chem. Soc. 2016, 27(1), 62-69

Application of Multivariate Analysis to Assess the Incorporation of Omega-3 Fatty Acid in Gluten-Free Cakes

Aline K. Gohara; Aloisio H. P.; Eliza M. Rotta; Gisely L. Stroher; Sandra T. M. Gomes; Jesui V. Visentainer; Nilson E. Souza; Makoto Matsushita

How to cite this article

 

Chia is a grain with high nutritional potential, mainly omega-3 contents, and this ingredient can be used in the development of several food products, such as bakery ones, especially cakes. Chemometrics presents interesting tools to assess the quality of the final product, and desirability function is a very useful method to determine the best formulation for all kinds of food stuffs.

https://dx.doi.org/10.5935/0103-5053.20150241

Published online: September 18, 2015

 

Share PDF

Total access: 1729


J. Braz. Chem. Soc. 2016, 27(1), 70-76

Use of a Digital Image in Flow Analysis: Determination of Nitrite and Nitrate in Natural Waters

Jorge Luís O. Santos; Oldair D. Leite; Anete D. M. Vieira; Djane S. Jesus; Marcos Y. Kamogawa

How to cite this article

 

A webcam is used as the detector in a flow analysis system, and the feasibility of the approach is demonstrated in the determination of nitrite and nitrate in natural waters.

https://dx.doi.org/10.5935/0103-5053.20150245

Published online: September 22, 2015

 

Share PDF

Total access: 1710


J. Braz. Chem. Soc. 2016, 27(1), 77-83

Dielectric Behavior of Alginate-Based Hydrogel Containing Neomycin-Loaded Lipid Nanovesicles under Influence of Electrical Potentials

Rafael R. Silva; Sandro V. de Lima; Gustavo H. R. C. Silva; Helinando P. de Oliveira; Maria D. L. Oliveira; Cesar A. S. Andrade

How to cite this article

 

Alginate-based hydrogel containing neomycin-loaded lipid nanovesicles was electrically characterized as a drug release system responsive to specific electrical potential.

https://dx.doi.org/10.5935/0103-5053.20150249

Published online: September 25, 2015

 

Share PDF   Supplementary Information 

Total access: 2595


J. Braz. Chem. Soc. 2016, 27(1), 84-90

Qualitative and Quantitative Monitoring of Methyl Cotton Biodiesel Content in Biodiesel/Diesel Blends Using MIR Spectroscopy and Chemometrics Tools

José Eduardo Buiatte; Eloíza Guimaraes; Hery Mitsutake; Lucas Caixeta Gontijo; Douglas Queiroz Santos; Waldomiro Borges Neto

How to cite this article

 

Qualitative and quantitative evaluation of methyl cotton biodiesel in biodiesel/diesel blends using multivariate control charts and partial least squares.

https://dx.doi.org/10.5935/0103-5053.20150251

Published online: September 29, 2015

 

Share PDF

Total access: 1685


J. Braz. Chem. Soc. 2016, 27(1), 91-98

Antimicrobial Potential of Bio-Oil for Use in Diesel Oil B10

Sabrina A. Beker; Maria Elisabete Machado; Gabriela P. S. Maciel; Rosângela Silva; Renato Cataluña; Elina B. Caramao; Fatima M. Bento

How to cite this article

 

Bio-oil contains promising compounds, such as phenolic compounds, active in the control of microbiological contamination during fuel storage. The figure shows that through two-dimensional gas chromatography with time-of-flight mass spectrometry (GC×GC/TOF MS) we identified these phenolic compounds.

https://dx.doi.org/10.5935/0103-5053.20150252

Published online: September 29, 2015

 

Share PDF   Supplementary Information 

Total access: 2968


J. Braz. Chem. Soc. 2016, 27(1), 99-108

Selective Separation of Silver(I) Ion Through a Bulk Liquid Membrane Containing 1,1'-(1,3-Phenylene)bis(3-allylthiourea) as Carrier

Azizollah Nezhadali; Zarrin Es'haghi; Shahriyar Bahar; Alireza Banaei; Jafar Abbasi Shiran

How to cite this article

 

Liquid membrane system for transport of Ag+ ions using 1,1'-(1,3-phenylene) bis (3-allylthiourea) as a carrier.

https://dx.doi.org/10.5935/0103-5053.20150255

Published online: October 2, 2015

 

Share PDF

Total access: 2042


J. Braz. Chem. Soc. 2016, 27(1), 109-118

Semi-Empirical Quantum Chemistry Method for Pre-Polymerization Rational Design of Ciprofloxacin Imprinted Polymer and Adsorption Studies

Luiz D. Marestoni; Ademar Wong; Gustavo T. Feliciano; Mary R. R. Marchi; César R. T. Tarley; Maria D. P. T. Sotomayor

How to cite this article

 

Theoretical calculation was used as a tool for the pre-selection of a suitable functional monomer able to interact with ciprofloxacin.

https://dx.doi.org/10.5935/0103-5053.20150256

Published online: October 2, 2015

 

Share PDF

Total access: 1920


J. Braz. Chem. Soc. 2016, 27(1), 119-126

Fast Determination of Iron and Zinc in Hair and Human Serum Samples After Alkaline Solubilization by GF AAS

Cláudio L. Donnici; Carolina C. Souza; Mark A. Beinner; José Bento B. da Silva

How to cite this article

 

Chemical structure of a new alkaline solution called Universol®, developed by our research group. Universol® degrades most, if not all, organic and non-organic material. We used this alkaline solution to solubilize human serum and hair samples to determine Fe and Zn levels by graphite furnace atomic absorption spectrometry (GF AAS).

https://dx.doi.org/10.5935/0103-5053.20150259

Published online: October 6, 2015

 

Share PDF

Total access: 1555


J. Braz. Chem. Soc. 2016, 27(1), 127-135

Estimating the Impact of an All-Electron Basis Set and Scalar Relativistic Effects on the Structure, Stability, and Reactivity of Small Copper Clusters

Francisco E. Jorge; Igor B. Ferreira; Danilo D. Soprani; Thieberson Gomes

How to cite this article

 

Second-order Douglas-Kroll-Hess (DKH2)-Becke three-parameter for exchange and Perdew-Wang 91 for correlation/valence double zeta quality basis set plus polarization functions-DKH optimized ground state structures for the neutral copper clusters, Cun (n = 2 - 8).

https://dx.doi.org/10.5935/0103-5053.20150261

Published online: October 9, 2015

 

Share PDF

Total access: 1738


J. Braz. Chem. Soc. 2016, 27(1), 136-143

Detailed 1H and 13C NMR Spectral Data Assignment for Two Dihydrobenzofuran Neolignans

Talita C. T. Medeiros; Herbert J. Dias; Eliane O. Silva; Murilo J. Fukui; Ana Carolina F. Soares; Tapas Kar; Vladimir C. G. Heleno; Paulo M. Donate; Renato L. T. Parreira; Antônio E. M. Crotti

How to cite this article

 

The use of two-dimensional (2D) nuclear magnetic resonance (NMR) spectroscopy techniques for the unequivocal assignment of the 1H and 13C NMR data of two synthetic dihydrobenzofuran neolignans.

https://dx.doi.org/10.5935/0103-5053.20150262

Published online: October 9, 2015

 

Share PDF   Supplementary Information 

Total access: 2801


J. Braz. Chem. Soc. 2016, 27(1), 144-152

Magnetic Nanoparticles Coated with Ionic Liquid as a Sorbent for Solid Phase Extraction of Chromium(VI) Prior to Its Determination by Electrothermal Atomic Absorption Spectrometry

Mehdi Karimi; Ali M. H. Shabani; Shayessteh Dadfarnia

How to cite this article

 

Synthesis route of magnetic nanoparticles coated with ionic liquids and its application for solid phase extraction of CrVI.

https://dx.doi.org/10.5935/0103-5053.20150263

Published online: October 9, 2015

 

Share PDF

Total access: 1907


J. Braz. Chem. Soc. 2016, 27(1), 153-160

Development of a Procedure Based on Chemiluminescence and Multicommutation Approach for the Determination of Folic Acid in Pharmaceuticals

Manoel J. A. Lima; Gláucia P. Vieira; Ridvan N. Fernandes; Auro A. Tanaka; Boaventura F. Reis

How to cite this article

 

Diagram of the setup for folic acid determination in pharmaceuticals by chemiluminescence.

https://dx.doi.org/10.5935/0103-5053.20150265

Published online: October 14, 2015

 

Share PDF

Total access: 1572


J. Braz. Chem. Soc. 2016, 27(1), 161-178

Limonin Derivatives: Synthesis Using Methodology in Solution and Heterogeneous Medium and Evaluation of the Antimicrobial Activity

Luciana C. Tavares; Tanize S. Fernandes; Vinicius Ilha; Alexandre T. Neto; Eveline W. dos Santos; Robert A. Burrow; Fábio A. Duarte; Erico M. M. Flores; Ubiratan F. Silva; Marco A. Mostardeiro; Ademir F. Morel

How to cite this article

 

A novel series of derivatives was synthesized from limonin using methodology in solution as well as in heterogeneous medium. The present study generated compounds that showed important antimicrobial activity.

https://dx.doi.org/10.5935/0103-5053.20150266

Published online: October 14, 2015

 

Share PDF   Supplementary Information 

Total access: 3078


J. Braz. Chem. Soc. 2016, 27(1), 179-185

Rhenium(I) Polypyridine Complexes as Luminescence-Based Sensors for the BSA Protein

Karina P. M. Frin; Verônica M. Nascimento

How to cite this article

 

The photophysical investigations showed that in the presence of bovine serum albumin (BSA), the metal-to-ligand-charge transfer (3MLCT) emission of the rhenium(I) complexes was quenched due to entrapment of the complex within the protein environment.

https://dx.doi.org/10.5935/0103-5053.20150268

Published online: October 19, 2015

 

Share PDF   Supplementary Information 

Total access: 2725


J. Braz. Chem. Soc. 2016, 27(1), 186-193

Simultaneous Determination of Herbicides in Rice by QuEChERS and LC-MS/MS Using Matrix-Matched Calibration

Andrey M. Rebelo; Maressa D. Dolzan; Melina Heller; Francisco C. Deschamps; Gilberto Abate; Gustavo A. Micke; Marco T. Grassi

How to cite this article

 

Matrix-matched calibration for accuracy improvement in determination of multiple pesticide residues in rice.

https://dx.doi.org/10.5935/0103-5053.20150269

Published online: October 20, 2015

 

Share PDF

Total access: 1907


J. Braz. Chem. Soc. 2016, 27(1), 194-201

Synthesis and Characterization of New Diazenecarboxamide Ligands Using a Selective Adduct Formation with B(C6F5)3

Manuel A. Escobar; Mauricio Valderrama; Constantin G. Daniliuc; Rene S. Rojas

How to cite this article

 

The synthesis and structure of new diazenecarboxamide ligands are described, as well as the subsequent reactions to give rise to new adducts in which B(C6F5)3 is coordinated to the carbonyl group. All new ligands and adducts are fully characterized by nuclear magnetic resonance (NMR), infrared (IR), elemental analysis and single-crystal X-ray diffraction methods.

https://dx.doi.org/10.5935/0103-5053.20150270

Published online: October 21, 2015

 

Share PDF   Supplementary Information 

Total access: 2814


J. Braz. Chem. Soc. 2016, 27(1), 202-208

Optimization of Reaction Conditions for Cyclohexane to Cyclohexanone with t-Butylhydroperoxide Over CuCl2 Loaded with Activated Carbon

Xiaoling Sun; Xinhui Zhang; Xiaoyan Cao; Xiaoyan Zhao

How to cite this article

 

CuCl2 loaded with activated carbon had synthesized and then utilized as a catalyst for the oxidation of cyclohexane with molecular oxygen as the oxidant and the tert-butylhydroperoxide as the co-oxidant under various conditions.

https://dx.doi.org/10.5935/0103-5053.20150271

Published online: October 21, 2015

 

Share PDF

Total access: 1690


J. Braz. Chem. Soc. 2016, 27(1), 209-220

Removal of Chromium(VI) from Industrial Effluents Through Supported Liquid Membrane Using Trioctylphosphine Oxide as a Carrier

Robila Nawaz; Khurshid Ali; Nauman Ali; Alia Khaliq

How to cite this article

 

The supported liquid membrane (SLM) design for CrVI extraction shows the transport mechanism of Cr ions in the form of [CrO(O2)2.TOPO] (TOPO = trioctylphosphine oxide) complex from feed to strip phase through membrane phase.

https://dx.doi.org/10.5935/0103-5053.20150272

Published online: October 21, 2015

 

Share PDF   Supplementary Information 

Total access: 2580


Short Report J. Braz. Chem. Soc. 2016, 27(1), 221-226

Application of a 33 Box-Behnken Design to Optimize the Extraction of Eleven Fluoroquinolones from Poultry Muscle and Kidney Using a QuEChERS Approach via Liquid Chromatography Tandem Mass Spectrometry: the Easy Use of Microsoft Excelr in Multivariate Analysis

Diego G. Rocha; Flavio A. Santos; Rodinei Augusti; Adriana F. Faria

How to cite this article

 

The systematic use of response surface methodology to optimize the extraction of fluoroquinolone antibiotics from animal tissues.

https://dx.doi.org/10.5935/0103-5053.20150264

Published online: October 9, 2015

 

Share PDF

Total access: 1511

Online version ISSN 1678-4790 Printed version ISSN 0103-5053
Journal of the Brazilian Chemical Society
JBCS Editorial and Publishing Office
University of Campinas - UNICAMP
13083-970 Campinas-SP, Brazil

Free access

GN1