JBCS

19:05, Wed Oct 8

Open Access/APCs

First slide
Second slide
Third slide
Third slide
Fifth slide
Sixth slide

vol. 21, No. 1, 2010, p. 1-190




Editorial J. Braz. Chem. Soc. 2010, 21(1), 1-2

Editorial

Watson Loh; Luiz Carlos Dias

How to cite this article

 

https://dx.doi.org/10.1590/S0103-50532010000100001

Total access: 1638


Articles J. Braz. Chem. Soc. 2010, 21(1), 3-6

A Mild and Simple Iodination of Phenols with Trichloroisocyanuric Acid/ I2 /Wet SiO2 System

Batool Akhlaghinia; Marzieh Rahmani

How to cite this article

 

https://dx.doi.org/10.1590/S0103-50532010000100002

Published online: September 11, 2009

 

Share PDF

Total access: 1421


J. Braz. Chem. Soc. 2010, 21(1), 7-15

Electrochemical Behavior of Hexamethylbenzene Isocloso Ruthenium-Borane Complex at a Glassy Carbon Electrode in Non-Aqueous Medium

M. M. Ghoneim; I. S. El-Hallag

How to cite this article

 

https://dx.doi.org/10.1590/S0103-50532010000100003

Published online: September 25, 2009

 

Share PDF

Total access: 1135


J. Braz. Chem. Soc. 2010, 21(1), 16-24

Electrooxidation and Determination of Etidronate using Copper Nanoparticles and Microparticles-modified Carbon Paste Electrodes

H. Heli; F. Faramarzi; A. Jabbari; A. Parsaei; A. A. Moosavi-Movahedi

How to cite this article

 

https://dx.doi.org/10.1590/S0103-50532010000100004

Published online: September 28, 2009

 

Share PDF

Total access: 1147


J. Braz. Chem. Soc. 2010, 21(1), 25-32

Modification of Silicon Surface with Redox Molecules Derived from Ferrocene

Gonzalo Riveros; Guillermo González; Boris Chornik

How to cite this article

 

https://dx.doi.org/10.1590/S0103-50532010000100005

Published online: September 30, 2009

 

Share PDF

Total access: 1120


J. Braz. Chem. Soc. 2010, 21(1), 33-36

Metal-Free Catalytic Oxidation of Sulfides to Sulfoxides with Ammonium Nitrate, Ammonium Hydrogen Sulfate and Ammonium Bromide as Catalyst

Arash Ghorbani-Choghamarani; Mohammad Ali Zolfigol; Roia Ayazi-Nasrabadi

How to cite this article

 

https://dx.doi.org/10.1590/S0103-50532010000100006

Published online: October 9, 2009

 

Share PDF

Total access: 1197


J. Braz. Chem. Soc. 2010, 21(1), 37-42

Eco-Friendly Synthesis of 2-Substituted Benzothiazoles Catalyzed by Cetyltrimethyl Ammonium Bromide (CTAB) in Water

Xiao-Liang Yang; Chun-Mei Xu; Shao-Miao Lin; Jiu-Xi Chen; Jin-Chang Ding; Hua-Yue Wu; Wei-Ke Su

How to cite this article

 

https://dx.doi.org/10.1590/S0103-50532010000100007

Published online: October 9, 2009

 

Share PDF   Supplementary Information 

Total access: 2502


J. Braz. Chem. Soc. 2010, 21(1), 43-48

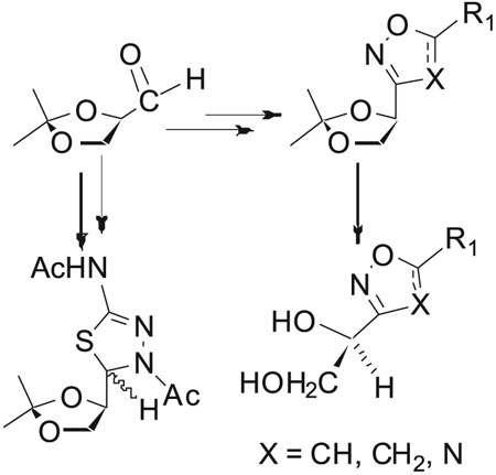
Synthesis and Antiacetylcholinesterase Activity of New D-Glyceraldehyde Heterocyclic Derivatives

Cecilia M. Scorzo; Mirta L. Fascio; Norma B. D'Accorso; Margarita Gutiérrez Cabrera; Luís Astudillo Saavedra

How to cite this article

 

https://dx.doi.org/10.1590/S0103-50532010000100008

Published online: October 9, 2009

 

Share PDF

Total access: 1131


J. Braz. Chem. Soc. 2010, 21(1), 49-57

Synthesis and Antimicrobial Activities of a New Class of 6-Arylbenzimidazo[1,2-c]quinazolines

Rondla Rohini; Kanne Shanker; P. Muralidhar Reddy; Vadde Ravinder

How to cite this article

 

https://dx.doi.org/10.1590/S0103-50532010000100009

Published online: October 9, 2009

 

Share PDF

Total access: 1358


J. Braz. Chem. Soc. 2010, 21(1), 58-62

Synthesis and Biological Activity of Novel Statine Derivatives Containing Ferrocenyl Moiety

Lijun Gu; Bingqin Yang; Feilong Liu

How to cite this article

 

https://dx.doi.org/10.1590/S0103-50532010000100010

Published online: October 16, 2009

 

Share PDF   Supplementary Information 

Total access: 2317


J. Braz. Chem. Soc. 2010, 21(1), 63-70

Synthesis of a Novel Series of 4-Arylpiperazinyl Derivatives Linked to a 2-(Pyridin-3-yl)-1H-benzimidazole as New Delavirdine Analogues

David Pessoa-Mahana; Andrés Núñez; Christian Espinosa; Jaime Mella-Raipán; Hernán Pessoa-Mahana

How to cite this article

 

https://dx.doi.org/10.1590/S0103-50532010000100011

Published online: October 16, 2009

 

Share PDF   Supplementary Information 

Total access: 2126


J. Braz. Chem. Soc. 2010, 21(1), 71-77

Some Aspects of Acetylation of Untreated and Mercerized Sisal Cellulose

Gabriela T. Ciacco; Daniella Lury Morgado; Elisabete Frollini; Shirley Possidonio; Omar A. El Seoud

How to cite this article

 

https://dx.doi.org/10.1590/S0103-50532010000100012

Published online: October 16, 2009

 

Share PDF

Total access: 1153


J. Braz. Chem. Soc. 2010, 21(1), 78-86

Monolayers and Thin Films of Dextran Hydrophobically Modified

Angel Leiva; Natalia Muñoz; Marcela Urzúa; Ligia Gargallo; Deodato Radic

How to cite this article

 

https://dx.doi.org/10.1590/S0103-50532010000100013

Published online: October 16, 2009

 

Share PDF

Total access: 1096


J. Braz. Chem. Soc. 2010, 21(1), 87-97

Influence of Intensive Agriculture on Dry Deposition of Aerosol Nutrients

Andrew G. Allen; Arnaldo A. Cardoso; Antony G. Wiatr; Cristine M. D. Machado; Willian C. Paterlini; Jacob Baker

How to cite this article

 

https://dx.doi.org/10.1590/S0103-50532010000100014

Published online: October 16, 2009

 

Share PDF

Total access: 1166


J. Braz. Chem. Soc. 2010, 21(1), 98-104

Design and Synthesis of 1-Aroyl-2-ylidene Hydrazines under Conventional and Microwave Irradiation Conditions and their Cytotoxic Activities

Lingam Venkata Reddy; Alishetty Suman; Syed Sultan Beevi; Lakshmi Narasu Mangamoori; Khagga Mukkanti; Sarbani Pal

How to cite this article

 

https://dx.doi.org/10.1590/S0103-50532010000100015

Published online: October 16, 2009

 

Share PDF

Total access: 1099


J. Braz. Chem. Soc. 2010, 21(1), 105-111

Synthesis of New 4-Methyl-2-(4-pyridyl)-1,2,3,4-tetrahydroquinolines as Potent Antifungal Compounds

Leonor Y. Vargas Méndez; Susana A. Zacchino; Vladimir V. Kouznetsov

How to cite this article

 

https://dx.doi.org/10.1590/S0103-50532010000100016

Published online: October 20, 2009

 

Share PDF   Supplementary Information 

Total access: 2214


J. Braz. Chem. Soc. 2010, 21(1), 112-118

Revisiting the Stability of endo/exo Diels-Alder Adducts between Cyclopentadiene and 1,4-benzoquinone

Claudio F. Tormena; Valdemar Lacerda Jr.; Kleber T. de Oliveira

How to cite this article

 

https://dx.doi.org/10.1590/S0103-50532010000100017

Published online: October 23, 2009

 

Share PDF

Total access: 1180


J. Braz. Chem. Soc. 2010, 21(1), 119-126

Determination of Benzene, Toluene and N-Hexane in Urine and Blood by Headspace Solid-Phase Microextration/Gas-Chromatography for the Biomonitoring of Occupational Exposure

Paulo C. F. de Lima Gomes; Éverton D. D'Andrea; Camila B. Mendes; Maria Elisa P. B. de Siqueira

How to cite this article

 

https://dx.doi.org/10.1590/S0103-50532010000100018

Published online: October 23, 2009

 

Share PDF

Total access: 1174


J. Braz. Chem. Soc. 2010, 21(1), 127-134

Multivariate Calibration Transfer Employing Variable Selection and Subagging

Marcelo N. Martins; Roberto K. H. Galvão; Maria Fernanda Pimentel

How to cite this article

 

https://dx.doi.org/10.1590/S0103-50532010000100019

Published online: October 23, 2009

 

Share PDF   Supplementary Information 

Total access: 2031


J. Braz. Chem. Soc. 2010, 21(1), 135-141

A Contribution to the Estimation of Binary Halide and Pseudo-Halide Equilibrium Constants using a Linear Extrapolation Methodology

Astréa F. de S. Silva; Manuel M. Ortega; Cristo B. Melios; Leonardo Pezza; Mercedes de Moraes; Mário Alberto Tenan; André F. Oliveira

How to cite this article

 

https://dx.doi.org/10.1590/S0103-50532010000100020

Published online: October 23, 2009

 

Share PDF   Supplementary Information 

Total access: 2074


J. Braz. Chem. Soc. 2010, 21(1), 142-150

Biochemical Evaluation of a Series of Synthetic Chalcone and Hydrazide Derivatives as Novel Inhibitors of Cruzain from Trypanosoma cruzi

Deise M. Borchhardt; Alessandra Mascarello; Louise Domeneghini Chiaradia; Ricardo J. Nunes; Glaucius Oliva; Rosendo A. Yunes; Adriano D. Andricopulo

How to cite this article

 

https://dx.doi.org/10.1590/S0103-50532010000100021

Published online: October 29, 2009

 

Share PDF

Total access: 1266


J. Braz. Chem. Soc. 2010, 21(1), 151-156

Synthesis and Enzymatic Evaluation of the Guanosine Analogue 2-Amino-6-mercapto-7-methylpurine Ribonucleoside (MESG). Insights into the Phosphorolysis Reaction Mechanism based on the Blueprint Transition State: SN1 or SN2?

Brenno A. D. Neto; Alexandre A. M. Lapis; Paulo A. Netz; John Spencer; Silvio L. P. Dias; Silvia M. Tamborim; Luiz A. Basso; Diógenes S. Santos; Jairton Dupont

How to cite this article

 

https://dx.doi.org/10.1590/S0103-50532010000100022

Published online: October 30, 2009

 

Share PDF   Supplementary Information 

Total access: 2153


J. Braz. Chem. Soc. 2010, 21(1), 157-168

Tuning of Photochemical and Photophysical Properties of [RuII(2,2'-bipyridine)2Lx] Complexes using Nonchromophoric Ligand Variations

Simone D. Inglez; Francisco C. A. Lima; Mariana R. Camilo; Juliana F. S. Daniel; Evania D. A. Santos; Benedito S. Lima-Neto; Rose M. Carlos

How to cite this article

 

https://dx.doi.org/10.1590/S0103-50532010000100023

Published online: October 30, 2009

 

Share PDF

Total access: 1246


J. Braz. Chem. Soc. 2010, 21(1), 169-178

Novel 2-(R-phenyl)amino-3-(2-methylpropenyl)-[1,4]-naphthoquinones: Synthesis, Characterization, Electrochemical Behavior and Antitumor Activity

Annelise Casellato; Amanda P. Neves; J. Walkimar de M. Carneiro; Maria D. Vargas; Lorenzo do C. Visentin; Alviclér Magalhães; Celso A. Câmara; Claudia Pessoa; Letícia V. Costa-Lotufo; José D. B. Marinho Filho; Manoel O. de Moraes

How to cite this article

 

https://dx.doi.org/10.1590/S0103-50532010000100024

Published online: November 12, 2009

 

Share PDF   Supplementary Information 

Total access: 46163


Short Reports J. Braz. Chem. Soc. 2010, 21(1), 179-184

Conformational Analysis of Toxogonine, TMB-4 and HI-6 using PM6 and RM1 Methods

Arlan da Silva Gonçalves; Tanos C. C. França; José D. Figueroa-Villar; Pedro G. Pascutti

How to cite this article

 

https://dx.doi.org/10.1590/S0103-50532010000100025

Published online: October 9, 2009

 

Share PDF   Supplementary Information 

Total access: 2264


J. Braz. Chem. Soc. 2010, 21(1), 185-190

Active Pt-PbOx/C Anodes to Promote the Formic Acid Oxidation in Presence of Sulfuric Acid

Guilherme S. Buzzo; Rafael V. Niquirilo; Hugo B. Suffredini

How to cite this article

 

https://dx.doi.org/10.1590/S0103-50532010000100026

Published online: October 23, 2009

 

Share PDF

Total access: 1121

Online version ISSN 1678-4790 Printed version ISSN 0103-5053
Journal of the Brazilian Chemical Society
JBCS Editorial and Publishing Office
University of Campinas - UNICAMP
13083-970 Campinas-SP, Brazil

Free access

GN1