JBCS

16:31, Fri Dec 5

Open Access/APCs

First slide
Second slide
Third slide
Third slide
Fifth slide
Sixth slide

vol. 21, No. 4, 2010, p. 573-774




Editorial J. Braz. Chem. Soc. 2010, 21(4), 573-574

Innovation in society and the basic sciences in the 4th NCSTI - National Conference on Science,Technology and Innovation

Ronaldo Mota

How to cite this article

 

https://dx.doi.org/10.1590/S0103-50532010000400001

Total access: 1853


Review J. Braz. Chem. Soc. 2010, 21(4), 575-589

Online Isotope Dilution and Inductively Coupled Plasma Mass Spectrometry: from Elemental to Species Quantification

Maria Fernanda Giné; Ana Paula Packer

How to cite this article

 

https://dx.doi.org/10.1590/S0103-50532010000400002

Published online: February 25, 2010

 

Share PDF

Total access: 1075


Articles J. Braz. Chem. Soc. 2010, 21(4), 590-602

Pt-Cu/C and Pd Modified Pt-Cu/C Electrocatalysts for the Oxygen Reduction Reaction in Direct Methanol Fuel Cells

Emilia A. Carbonio; Flavio Colmati; Eduardo G. Ciapina; Maristela E. Pereira; Ernesto R. Gonzalez

How to cite this article

 

https://dx.doi.org/10.1590/S0103-50532010000400003

Published online: December 3, 2009

 

Share PDF   Supplementary Information 

Total access: 2158


J. Braz. Chem. Soc. 2010, 21(4), 603-613

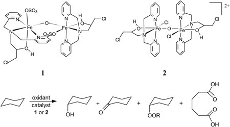
Properties of (μ-Oxo)di-iron Complexes and Catalytic Activity Toward Cyclohexane Oxidation

Gabrieli L. Parrilha; Sarah S. Ferreira; Christiane Fernandes; Giselle C. Silva; Nakédia M. F. Carvalho; O. A. C. Antunes; Valderes Drago; Adailton J. Bortoluzzi; Adolfo Horn Jr.

How to cite this article

 

https://dx.doi.org/10.1590/S0103-50532010000400004

Published online: December 11, 2009

 

Share PDF

Total access: 1017


J. Braz. Chem. Soc. 2010, 21(4), 614-619

Two New Copper(II) Complexes of 1-Butyl-1H-1,2,4-triazole: Synthesis, Characterization and Electrocatalytic Activity

Ke Fei Wang; Fang Fang Jian; Rui Rui Zhuang

How to cite this article

 

https://dx.doi.org/10.1590/S0103-50532010000400005

Published online: December 15, 2009

 

Share PDF   Supplementary Information 

Total access: 2064


J. Braz. Chem. Soc. 2010, 21(4), 620-626

Calibration Techniques and Modifiers for the Determination of Cd, Pb and Tl in Biodiesel as Microemulsion by Graphite Furnace Atomic Absorption Spectrometry

Jessee S. Azevedo Silva; Eduardo S. Chaves; Éder J. dos Santos; Tatiana D. Saint'Pierre; Vera Lúcia A. Frescura; Adilson J. Curtius

How to cite this article

 

https://dx.doi.org/10.1590/S0103-50532010000400006

Published online: December 15, 2009

 

Share PDF

Total access: 1129


J. Braz. Chem. Soc. 2010, 21(4), 627-634

Direct Determination of Lanthanides in Environmental Samples using Ultrasonic Nebulization and ICP OES

Fabrina R. S. Bentlin; Dirce Pozebon

How to cite this article

 

https://dx.doi.org/10.1590/S0103-50532010000400007

Published online: December 15, 2009

 

Share PDF   Supplementary Information 

Total access: 2247


J. Braz. Chem. Soc. 2010, 21(4), 635-641

Evidences of Siderophores Synthesis by Grapevine Xylella fastidiosa, Causal Agent of Pierce's Disease, through Instrumental Approaches

Ana Valéria C. Simionato; Maria Estela Silva-Stenico; Siu Mui Tsai; Emanuel Carrilho

How to cite this article

 

https://dx.doi.org/10.1590/S0103-50532010000400008

Published online: December 15, 2009

 

Share PDF

Total access: 1092


J. Braz. Chem. Soc. 2010, 21(4), 642-650

Pesticide Residue Determination in Groundwater using Solid-Phase Extraction and High-Performance Liquid Chromatography with Diode Array Detector and Liquid Chromatography-Tandem Mass Spectrometry

Sergiane S. Caldas; Adriana Demoliner; Fabiane P. Costa; Marcelo G. M. D'Oca; Ednei G. Primel

How to cite this article

 

https://dx.doi.org/10.1590/S0103-50532010000400009

Published online: December 16, 2009

 

Share PDF

Total access: 1301


J. Braz. Chem. Soc. 2010, 21(4), 651-658

Electrochemical Removal of CuII in the Presence of Humic Acid

Claudomiro P. Barbosa; Geoffroy R. P. Malpass; Douglas W. Miwa; Luciano Gomes; Rodnei Bertazzoli; Artur J. Motheo

How to cite this article

 

https://dx.doi.org/10.1590/S0103-50532010000400010

Published online: December 16, 2009

 

Share PDF

Total access: 1121


J. Braz. Chem. Soc. 2010, 21(4), 659-664

Tropical Peat as a Versatile Material for Solid-Phase Extraction of Pesticides from Medicinal Plant Cordia salicifolia

Pedro H. V. de Carvalho; Amanda M. D. de Jesus; Vanessa M. Prata; Débora S. S. Bezerra; Luciane P. C. Romão; Sandro Navickiene

How to cite this article

 

https://dx.doi.org/10.1590/S0103-50532010000400011

Published online: December 16, 2009

 

Share PDF

Total access: 1097


J. Braz. Chem. Soc. 2010, 21(4), 665-668

New Coumarins from Clausena lansium Twigs

Wisanu Maneerat; Uma Prawat; Nisakorn Saewan; Surat Laphookhieo

How to cite this article

 

https://dx.doi.org/10.1590/S0103-50532010000400012

Published online: December 16, 2009

 

Share PDF   Supplementary Information 

Total access: 2426


J. Braz. Chem. Soc. 2010, 21(4), 669-679

Stripping Voltammetric Methods for Determination of the Antiparasitic Drug Nitazoxanide in Bulk Form, Pharmaceutical Formulation and Human Serum

Hanaa S. El-Desoky; Mohamed M. Ghoneim; Mohamed M. Abdel-Galeil

How to cite this article

 

https://dx.doi.org/10.1590/S0103-50532010000400013

Published online: December 21, 2009

 

Share PDF

Total access: 1062


J. Braz. Chem. Soc. 2010, 21(4), 680-685

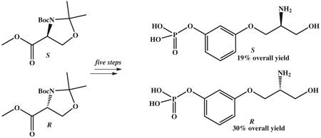
Design, Synthesis and in vitro Evaluation on Glucosamine-6P Synthase of Aromatic Analogs of 2-Aminohexitols-6P

Danielle F. Dias; Céline Roux; Philippe Durand; Bogdan Iorga; Marie A. Badet-Denisot; Bernard Badet; Ricardo J. Alves

How to cite this article

 

https://dx.doi.org/10.1590/S0103-50532010000400014

Published online: December 21, 2009

 

Share PDF

Total access: 1026


J. Braz. Chem. Soc. 2010, 21(4), 686-693

Arsenic Determination in Pharmaceutical Grade Barium Sulfate using Direct Solid Sampling Electrothermal Atomic Absorption Spectrometry

Rodrigo C. Bolzan; Diogo P. de Moraes; Julio Cezar P. de Mattos; Valderi L. Dressler; Érico M. de Moraes Flores

How to cite this article

 

https://dx.doi.org/10.1590/S0103-50532010000400015

Published online: December 21, 2009

 

Share PDF

Total access: 1114


J. Braz. Chem. Soc. 2010, 21(4), 694-700

A Comparative Study of Irradiation Systems for Photoinactivation of Microorganisms

Lucas F. de Paula; Renata O. Santos; Henrique D. Menezes; Jonas R. de Britto; João B. Vieira Jr; Paulo P. Gontijo Filho; Carlos A. de Oliveira

How to cite this article

 

https://dx.doi.org/10.1590/S0103-50532010000400016

Published online: December 21, 2009

 

Share PDF

Total access: 1053


J. Braz. Chem. Soc. 2010, 21(4), 701-709

Determination of Metallic Contaminants in Human Recombinant Erythropoietin (EPO) Formulations by Adsorptive Cathodic Stripping Voltammetry and UV Photo-Decomposition of Samples

Leandro M. de Carvalho; Júlia C. Garmatz; Cristiane Spengler; Paulo C. do Nascimento; Denise Bohrer; Cibele M. Canabarro; Solange C. Garcia; Marcelo B. da Rosa

How to cite this article

 

https://dx.doi.org/10.1590/S0103-50532010000400017

Published online: December 21, 2009

 

Share PDF

Total access: 1088


J. Braz. Chem. Soc. 2010, 21(4), 710-714

Kinetics of Deoxynivalenol Degradation by Aspergillus oryzae and Rhizopus oryzae in Submerged Fermentation

Jaqueline Garda-Buffon; Eliana Badiale-Furlong

How to cite this article

 

https://dx.doi.org/10.1590/S0103-50532010000400018

Published online: December 30, 2009

 

Share PDF

Total access: 1064


J. Braz. Chem. Soc. 2010, 21(4), 715-720

Effects of Reaction Conditions on the Grafting Percentage of Poly(ethylene glycol)-block-poly(γ-benzyl L-glutamate)-graft-poly(ethylene glycol) Copolymer

Guo-quan Zhu; Fa-gang Wang; Yu-ying Liu

How to cite this article

 

https://dx.doi.org/10.1590/S0103-50532010000400019

Published online: December 30, 2009

 

Share PDF

Total access: 1133


J. Braz. Chem. Soc. 2010, 21(4), 721-730

Assessment of Extractability of Cu, Cr, Ni, Pb and Zn in some Chilean Biosolid-Amended Soils by using BCR Sequential Extraction Procedure

Inés Ahumada; Adolfo Maricán; Mauricio Retamal; Cristina Pedraza; Loreto Ascar; Adriana Carrasco; Pablo Richter

How to cite this article

 

https://dx.doi.org/10.1590/S0103-50532010000400020

Published online: January 21, 2010

 

Share PDF

Total access: 1090


J. Braz. Chem. Soc. 2010, 21(4), 731-739

Isolation, X-ray Crystal Structure and Theoretical Calculations of the New Compound 8-Epicordatin and Identification of others Terpenes and Steroids from the Bark and Leaves of Croton palanostigma Klotzsch

Davi S. B. Brasil; Adolfo H. Müller; Gisele M. S. P. Guilhon; Cláudio N. Alves; Gabriel Peris; Rosa Llusar; Vicent Moliner

How to cite this article

 

https://dx.doi.org/10.1590/S0103-50532010000400021

Published online: January 28, 2010

 

Share PDF   Supplementary Information 

Total access: 2105


J. Braz. Chem. Soc. 2010, 21(4), 740-749

Theoretical and Voltammetric Studies of 5-Nitro-heterocyclic Derivatives with Potential Trypanocidal Activities

Fávero R. Paula; Gustavo H. G. Trossini; Elizabeth I. Ferreira; Silvia H. P. Serrano; Carla M. S. Menezes; Leoberto C. Tavares

How to cite this article

 

https://dx.doi.org/10.1590/S0103-50532010000400022

Published online: January 28, 2010

 

Share PDF

Total access: 1067


J. Braz. Chem. Soc. 2010, 21(4), 750-759

Differential Metabolic and Biological Profiles of Lychnophora ericoides Mart. (Asteraceae) from Different Localities in the Brazilian "campos rupestres"

Leonardo Gobbo-Neto; Thais Guaratini; Cláudia Pessoa; Manoel O. de Moraes; Letícia V. Costa-Lotufo; Roberto F. Vieira; Pio Colepicolo; Norberto P. Lopes

How to cite this article

 

https://dx.doi.org/10.1590/S0103-50532010000400023

Published online: February 8, 2010

 

Share PDF   Supplementary Information 

Total access: 2180


Short Reports J. Braz. Chem. Soc. 2010, 21(4), 760-763

Improving the Computational Efficiency of the Successive Projections Algorithm by using a Sequential Regression Implementation: A Case Study Involving NIR Spectrometric Analysis of Wheat Samples

Anderson S. Soares; Arlindo R. Galvão Filho; Roberto K. H. Galvao; Mário César U. Araújo

How to cite this article

 

https://dx.doi.org/10.1590/S0103-50532010000400024

Published online: December 15, 2009

 

Share PDF

Total access: 1066


J. Braz. Chem. Soc. 2010, 21(4), 764-769

Counter-Current Chromatography Separation of Isatin Derivatives using the Sandmeyer Methodology

Márcia R. Almeida; Gilda G. Leitão; Bárbara V. Silva; Jussara P. Barbosa; Angelo C. Pinto

How to cite this article

 

https://dx.doi.org/10.1590/S0103-50532010000400025

Published online: December 30, 2009

 

Share PDF

Total access: 1156


J. Braz. Chem. Soc. 2010, 21(4), 770-774

Efficient and Selective Iodination of Phenols Promoted by Iodine and Hydrogen Peroxide in Water

Rafael D. C. Gallo; Karimi S. Gebara; Rozanna M. Muzzi; Cristiano Raminelli

How to cite this article

 

https://dx.doi.org/10.1590/S0103-50532010000400026

Published online: December 15, 2009

 

Share PDF

Total access: 1245

Online version ISSN 1678-4790 Printed version ISSN 0103-5053
Journal of the Brazilian Chemical Society
JBCS Editorial and Publishing Office
University of Campinas - UNICAMP
13083-970 Campinas-SP, Brazil

Free access

GN1