JBCS

19:06, Wed Oct 8

Open Access/APCs

First slide
Second slide
Third slide
Third slide
Fifth slide
Sixth slide

vol. 20, No. 3, 2009, p. 387-575




Editorial J. Braz. Chem. Soc. 2009, 20(3), 0

The United Nations Organization has proclaimed 2011 the International Year of Chemistry

Angelo C. Pinto

How to cite this article

 

https://dx.doi.org/10.1590/S0103-50532009000300001

Total access: 1681


Review J. Braz. Chem. Soc. 2009, 20(3), 387-406

Electrochemical Routes for Industrial Synthesis

C. A. C. Sequeira; D. M. F. Santos

How to cite this article

 

https://dx.doi.org/10.1590/S0103-50532009000300002

Published online: February 6, 2009

 

Share PDF

Total access: 1329


J. Braz. Chem. Soc. 2009, 20(3), 407-428

Organophosphorus Compounds as Chemical Warfare Agents: a Review

Reinaldo T. Delfino; Tatiana S. Ribeiro; José D. Figueroa-Villar

How to cite this article

 

https://dx.doi.org/10.1590/S0103-50532009000300003

Published online: March 6, 2009

 

Share PDF

Total access: 1599


Articles J. Braz. Chem. Soc. 2009, 20(3), 429-436

Enantioselective Transport of D,L-Phenylalanine and D,L-Phenylglycine through a Bulk Liquid Membrane Containing Cinchona Alkaloid Derivatives as Chiral Selectors

S. Canepari; A.M. Girelli; E. Mattei; D. Tosti

How to cite this article

 

https://dx.doi.org/10.1590/S0103-50532009000300004

Published online: January 22, 2009

 

Share PDF

Total access: 1167


J. Braz. Chem. Soc. 2009, 20(3), 437-444

Immunomodulatory Effects of Palladium(II) Complexes of 1,2,4-Triazole on Murine Peritoneal Macrophages

Amadeu M. Bego; Regina C. G. Frem; Adelino V.G. Netto; Antonio E. Mauro; Sandra R. Ananias; Iracilda Z. Carlos; Michelle C. da Rocha

How to cite this article

 

https://dx.doi.org/10.1590/S0103-50532009000300005

Published online: February 6, 2009

 

Share PDF

Total access: 1005


J. Braz. Chem. Soc. 2009, 20(3), 445-450

Spectroscopic Investigations of Iron(II) and Iron(III) Oxalates

Maria C. D'Antonio; Alejandra Wladimirsky; Daniel Palacios; Liliana Coggiolaa; Ana C. González-Baró; Enrique J. Baran; Roberto C. Mercader

How to cite this article

 

https://dx.doi.org/10.1590/S0103-50532009000300006

Published online: February 13, 2009

 

Share PDF

Total access: 1246


J. Braz. Chem. Soc. 2009, 20(3), 451-459

2D QSAR Studies on a Series of Bifonazole Derivatives with Antifungal Activity

Sabrina G. R. Mota; Tânia F. Barros; Marcelo S. Castilho

How to cite this article

 

https://dx.doi.org/10.1590/S0103-50532009000300007

Published online: February 13, 2009

 

Share PDF

Total access: 1106


J. Braz. Chem. Soc. 2009, 20(3), 460-465

Interaction of Anionic Azo Dye and TTAB - Cationic Surfactant

Sayed Mehdi Ghoreishi; Mohsen Behpour; Mehdi Shabani-Nooshabadi

How to cite this article

 

https://dx.doi.org/10.1590/S0103-50532009000300008

Published online: February 13, 2009

 

Share PDF

Total access: 1044


J. Braz. Chem. Soc. 2009, 20(3), 466-471

Superabsorbent Polymer as Nanoreactors for Preparation of Hematite Nanoparticles and Application of the Prepared Nanocatalyst for the Friedel-Crafts Acylation

Hamdollah Saeidian; Firouz Matloubi Moghaddam; Ali Pourjavadi; Shahram Barzegar; Rouhollah Soleyman; Abouzar Sohrabi

How to cite this article

 

https://dx.doi.org/10.1590/S0103-50532009000300009

Published online: February 13, 2009

 

Share PDF

Total access: 1131


J. Braz. Chem. Soc. 2009, 20(3), 472-477

UHMWPE-Layered Silicate Nanocomposites by in situ Polymerization with Tris(pyrazolyl)borate Titanium/Clay Catalyst

Fernando Junges; Mariana S. Beauvalet; Bárbara C. Leal; Adriana C. A. Casagrande; Fábio F. Mota; Raquel S. Mauler; Osvaldo L. Casagrande Jr

How to cite this article

 

https://dx.doi.org/10.1590/S0103-50532009000300010

Published online: February 13, 2009

 

Share PDF

Total access: 1123


J. Braz. Chem. Soc. 2009, 20(3), 478-481

Clausenain B, a Phenylalanine-rich Cyclic Octapeptide from Clausena anisum-olens

Yun-Song Wang; Hong-Pin He; Jing-Hua Yang; Ying-Tong Di; Ning-Hua Tan; Xiao-Jiang Hao

How to cite this article

 

https://dx.doi.org/10.1590/S0103-50532009000300011

Published online: February 20, 2009

 

Share PDF   Supplementary Information 

Total access: 2040


J. Braz. Chem. Soc. 2009, 20(3), 482-487

Catalyst- and Solvent-free Synthesis of Imidazo[1,2-a]pyridines

Dong-Jian Zhu; Jiu-Xi Chen; Miao-Chang Liu; Jin-Chang Ding; Hua-Yue Wu

How to cite this article

 

https://dx.doi.org/10.1590/S0103-50532009000300012

Published online: February 20, 2009

 

Share PDF   Supplementary Information 

Total access: 2388


J. Braz. Chem. Soc. 2009, 20(3), 488-495

Annual Variation of Total Suspended Particulate and Associated Polycyclic Aromatic Hydrocarbons in the Tropical City of Niterói, RJ, Brazil

Fernanda de Melo Lima; Annibal D. Pereira Netto

How to cite this article

 

https://dx.doi.org/10.1590/S0103-50532009000300013

Published online: February 20, 2009

 

Share PDF

Total access: 1173


J. Braz. Chem. Soc. 2009, 20(3), 496-501

Voltammetric Determination of Pyridoxine (Vitamin B6) in Drugs using a Glassy Carbon Electrode Modified with Chromium(III) Hexacyanoferrate(II)

Solange M. Cottica; Jorge Nozaki; Helena S. Nakatani; Claudio C. Oliveira; Nilson E. de Souza; Jesui V. Visentainer

How to cite this article

 

https://dx.doi.org/10.1590/S0103-50532009000300014

Published online: March 6, 2009

 

Share PDF

Total access: 1058


J. Braz. Chem. Soc. 2009, 20(3), 502-508

Optimization of the Benzo(A)Pyrene Determination Procedure in Cachaça

Miriam S. F. Caruso; Janete Alaburda

How to cite this article

 

https://dx.doi.org/10.1590/S0103-50532009000300015

Published online: March 6, 2009

 

Share PDF

Total access: 1059


J. Braz. Chem. Soc. 2009, 20(3), 509-517

Synthesis of New Trihalomethylated and Non-symmetrical Substituted 2-(1H-Pyrazolyl)-5-(1H-pyrazolylcarbonyl)pyridines

Helio G. Bonacorso; Gisele R. Paim; Carolina Z. Guerra; Ronan C. Sehnem; Cleber A. Cechinel; Liliane M. F. Porte; Marcos A. P. Martins; Nilo Zanatta

How to cite this article

 

https://dx.doi.org/10.1590/S0103-50532009000300016

Published online: March 6, 2009

 

Share PDF

Total access: 1085


J. Braz. Chem. Soc. 2009, 20(3), 518-529

Particle-Associated Polycyclic Aromatic Hydrocarbons in a Suburban Region of Rio de Janeiro, Brazil, with Industrial and Traffic Emissions

Larissa F. C. S. Marques; Graciela Arbilla; Simone L. Quiterio; Mauro Cesar S. Machado

How to cite this article

 

https://dx.doi.org/10.1590/S0103-50532009000300017

Published online: March 6, 2009

 

Share PDF

Total access: 1065


J. Braz. Chem. Soc. 2009, 20(3), 530-534

SPME-GC-FID Method Development for Analyzing Cyclohexanone Hydrogenation Products

Adriana R. A. Coelho; Ione M. F. Oliveira; Zenilda L. Cardeal

How to cite this article

 

https://dx.doi.org/10.1590/S0103-50532009000300018

Published online: March 6, 2009

 

Share PDF

Total access: 1107


J. Braz. Chem. Soc. 2009, 20(3), 535-542

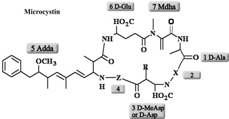
Hepatotoxin Microcystin-LR Extraction Optimization

Maria Estela Silva-Stenico; Romeu Cantúsio Neto; Ivânio R. Alves; Luiz Alberto B. Moraes; Tânia K. Shishido; Marli Fátima Fiore

How to cite this article

 

https://dx.doi.org/10.1590/S0103-50532009000300019

Published online: March 6, 2009

 

Share PDF

Total access: 1227


J. Braz. Chem. Soc. 2009, 20(3), 543-548

Identification of Carbonium and Carbenium Ions by QTAIM

Caio L. Firme; O. A. C. Antunes; Pierre M. Esteves

How to cite this article

 

https://dx.doi.org/10.1590/S0103-50532009000300020

Published online: March 6, 2009

 

Share PDF   Supplementary Information 

Total access: 2073


J. Braz. Chem. Soc. 2009, 20(3), 549-559

IR, Raman and SERS Spectra of 2-(Methoxycarbonylmethylsulfanyl)-3,5-dinitrobenzene Carboxylic Acid

Asha Raj; K. Raju; Hema Tresa Varghese; Carlos M. Granadeiro; Helena I. S. Nogueira; C. Yohannan Panicker

How to cite this article

 

https://dx.doi.org/10.1590/S0103-50532009000300021

Published online: March 6, 2009

 

Share PDF   Supplementary Information 

Total access: 2690


Short Reports J. Braz. Chem. Soc. 2009, 20(3), 560-563

Hydrolysis of Methyl Benzoate from Piper arboreum by Naupactus bipes Beetle

Clécio S. Ramos; Massuo J. Kato

How to cite this article

 

https://dx.doi.org/10.1590/S0103-50532009000300022

Published online: February 20, 2009

 

Share PDF   Supplementary Information 

Total access: 2101


J. Braz. Chem. Soc. 2009, 20(3), 564-568

A Highly Efficient and General Method for the Preparation of (Z)-Allylic Bromides Derived from Morita-Baylis-Hillman Adducts

Misael Ferreira; Luciano Fernandes; Marcus M. Sá

How to cite this article

 

https://dx.doi.org/10.1590/S0103-50532009000300023

Published online: February 20, 2009

 

Share PDF

Total access: 1258


J. Braz. Chem. Soc. 2009, 20(3), 569-575

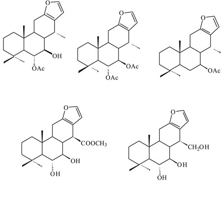
Furanoditerpenes from Pterodon pubescens Benth with Selective in vitro Anticancer Activity for Prostate Cell Line

Humberto M. Spindola; João E. de Carvalho; Ana Lúcia T. G. Ruiz; Rodney A. F. Rodrigues; Carina Denny; Ilza M. de Oliveira Sousa; Jorge Y. Tamashiro; Mary Ann Foglio

How to cite this article

 

https://dx.doi.org/10.1590/S0103-50532009000300024

Published online: March 6, 2009

 

Share PDF   Supplementary Information 

Total access: 2298

Online version ISSN 1678-4790 Printed version ISSN 0103-5053
Journal of the Brazilian Chemical Society
JBCS Editorial and Publishing Office
University of Campinas - UNICAMP
13083-970 Campinas-SP, Brazil

Free access

GN1