JBCS

19:06, Wed Oct 8

Open Access/APCs

First slide
Second slide
Third slide
Third slide
Fifth slide
Sixth slide

vol. 19, No. 1, 2008, p. 1-202




Editorial J. Braz. Chem. Soc. 2008, 19(1), 0-0

Editorial

Luiz Carlos Dias; Watson Loh

How to cite this article

 

https://dx.doi.org/10.1590/S0103-50532008000100001

Total access: 1459


Articles J. Braz. Chem. Soc. 2008, 19(1), 1-10

Use of Doehlert Design for Optimizing the Digestion of Beans for Multi-Element Determination by Inductively Coupled Plasma Optical Emission Spectrometry

Wagna Piler C. Dos Santos; Diogenes R. Gramacho; Alete P. Teixeira; Antônio Celso S. Costa; Maria das Graças A. Korn

How to cite this article

 

https://dx.doi.org/10.1590/S0103-50532008000100002

Published online: January 14, 2008

 

Share PDF

Total access: 999


J. Braz. Chem. Soc. 2008, 19(1), 11-17

Combination of Solid Phase Extraction and Flame Atomic Absorption Spectrometry for Trace Analysis of Cadmium

Ali A. Ensafi; Ameneh Zendegi Shiraz

How to cite this article

 

https://dx.doi.org/10.1590/S0103-50532008000100003

Published online: December 17, 2007

 

Share PDF

Total access: 1074


J. Braz. Chem. Soc. 2008, 19(1), 18-23

Synthesis of Novel O-Acylated-D-ribono-1,5-lactones and Structural Assignment Supported by Conventional NOESY-NMR and X-ray Analysis

Marcus M. Sá; Gustavo P. Silveira; Miguel S. B. Caro; Javier Ellena

How to cite this article

 

https://dx.doi.org/10.1590/S0103-50532008000100004

Published online: January 14, 2008

 

Share PDF   Supplementary Information 

Total access: 1968


J. Braz. Chem. Soc. 2008, 19(1), 24-28

Capillary Electrophoresis (CE): a Powerful Tool to Characterize Humic Acid (HA)

Solange L. de Moraes; Maria Olímpia O. Rezende

How to cite this article

 

https://dx.doi.org/10.1590/S0103-50532008000100005

Published online: January 14, 2008

 

Share PDF

Total access: 1016


J. Braz. Chem. Soc. 2008, 19(1), 29-34

Fast Differentiation of Bacteria causing Pharyngitis by Low Resolution Raman Spectroscopy and PLS-Discriminant Analysis

Cesar Mello; Eza Sevéri; Emiliane Ricci; Antônio Marangoni; Lucinda Coelho; Diórginis Ribeiro; Ronei J. Poppi

How to cite this article

 

https://dx.doi.org/10.1590/S0103-50532008000100006

Published online: January 18, 2008

 

Share PDF

Total access: 1028


J. Braz. Chem. Soc. 2008, 19(1), 35-41

Determination of Amitriptyline and its Main Metabolites in Human Plasma Samples using HPLC-DAD: Application to the Determination of Metabolic Ratios after Single Oral Dose of Amitriptyline

Rafael Linden; Marina Venzon Antunes; Ana Luiza Ziulkoski; Maína Wingert; Paula Tonello; Mladen Tzvetkov; André Arigony Souto

How to cite this article

 

https://dx.doi.org/10.1590/S0103-50532008000100007

Published online: January 18, 2008

 

Share PDF

Total access: 1048


J. Braz. Chem. Soc. 2008, 19(1), 42-52

Chemoselective Synthesis of Novel Thiatriazolophanes

Madhukar S. Chande; Kiran A. Puthamane; Pravin A. Barve; Rahul R. Khanwelkar; Deepak S. Venkataraman

How to cite this article

 

https://dx.doi.org/10.1590/S0103-50532008000100008

Published online: January 22, 2008

 

Share PDF   Supplementary Information 

Total access: 2018


J. Braz. Chem. Soc. 2008, 19(1), 53-59

Folic Acid and Iron Evaluation in Brazilian Enriched Corn and Wheat Flours

Thaís Rezende Boen; Bruno Thiago Soeiro; Edenir Rodrigues Pereira-Filho; Juliana Azevedo Lima-Pallone

How to cite this article

 

https://dx.doi.org/10.1590/S0103-50532008000100009

Published online: January 22, 2008

 

Share PDF

Total access: 1015


J. Braz. Chem. Soc. 2008, 19(1), 60-63

Determination of Azoxystrobin Residue by UV Detection High Performance Liquid Chromatography in Mango

S. Sundravadana; D. Alice; R. Samiyappan; S. Kuttalam

How to cite this article

 

https://dx.doi.org/10.1590/S0103-50532008000100010

Published online: January 22, 2008

 

Share PDF

Total access: 1011


J. Braz. Chem. Soc. 2008, 19(1), 64-73

Design of Inhibitors for Nucleoside Hydrolase from Leishmania donovani using Molecular Dynamics Studies

Tanos C. C. França; Maria do Ramo M. Rocha; Bruno M. Reboredo; Magdalena N. Rennó; Luzineide W. Tinoco; José D. Figueroa-Villar

How to cite this article

 

https://dx.doi.org/10.1590/S0103-50532008000100011

Published online: January 22, 2008

 

Share PDF

Total access: 1379


J. Braz. Chem. Soc. 2008, 19(1), 74-80

Theoretical Study of the Gas-Phase Reaction: SF6 + CO+ ↑ SF5+ + FCO

Nelson H. Morgon; Richard A. Kennedy

How to cite this article

 

https://dx.doi.org/10.1590/S0103-50532008000100012

Published online: January 22, 2008

 

Share PDF   Supplementary Information 

Total access: 1878


J. Braz. Chem. Soc. 2008, 19(1), 81-88

An Appraisal on the Degradation of Paracetamol by TiO2/UV System in Aqueous Medium. Product Identification by Gas Chromatography-Mass Spectrometry (GC-MS)

Ilza Dalmázio; Tânia M. A. Alves; Rodinei Augusti

How to cite this article

 

https://dx.doi.org/10.1590/S0103-50532008000100013

Published online: January 25, 2008

 

Share PDF

Total access: 1043


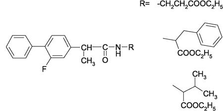
J. Braz. Chem. Soc. 2008, 19(1), 89-100

Synthesis, Characterization and Pharmacological Evaluation of Amide Prodrugs of Flurbiprofen

Ashutosh Mishra; Ravichandran Veerasamy; Prateek Kumar Jain; Vinod Kumar Dixit; Ram Kishor Agrawal

How to cite this article

 

https://dx.doi.org/10.1590/S0103-50532008000100014

Published online: January 28, 2008

 

Share PDF

Total access: 1054


J. Braz. Chem. Soc. 2008, 19(1), 101-110

Hydration Properties of Al3+ Ion using Empirical Ion-water Potential by Monte Carlo Simulation

Vania Elisabeth Barlette; Luiz Carlos Gomide Freitas; Paulo Henrique Guadagnini; Celso Aparecido Bertran

How to cite this article

 

https://dx.doi.org/10.1590/S0103-50532008000100015

Published online: January 28, 2008

 

Share PDF

Total access: 1035


J. Braz. Chem. Soc. 2008, 19(1), 111-116

Preparation and Characterization of Poly(Ether Ether Ketone) Derivatives

Thiago F. Conceição; José R. Bertolino; Guilherme M. O. Barra; Sandro L. Mireski; Antônio C. Joussef; Alfredo T. N. Pires

How to cite this article

 

https://dx.doi.org/10.1590/S0103-50532008000100016

Published online: January 28, 2008

 

Share PDF

Total access: 1252


J. Braz. Chem. Soc. 2008, 19(1), 117-122

Fatty Acid Contents of Brazilian Soybean Oils with Emphasis on trans Fatty Acids

Clayton Antunes Martin; Jesuí Vergílio Visentainer; Adriana Nery de Oliveira; Claudio Celestino de Oliveira; Makoto Matsushita; Nilson Evelázio de Souza

How to cite this article

 

https://dx.doi.org/10.1590/S0103-50532008000100017

Published online: January 28, 2008

 

Share PDF

Total access: 1134


J. Braz. Chem. Soc. 2008, 19(1), 123-130

Biological Activity of Metal-edds (ethylenediaminedisuccinate) Complexes in K562 and PBMC Cells

Natália J. S. Costa; Szulim B. Zyngier; Cíntia R. Bombardieri; Juliana S. Kuribayashi; Maristela M. de Camargo; Breno P. Espósito

How to cite this article

 

https://dx.doi.org/10.1590/S0103-50532008000100018

Published online: January 28, 2008

 

Share PDF   Supplementary Information 

Total access: 2133


J. Braz. Chem. Soc. 2008, 19(1), 131-139

Development of Instrumentation for Amperometric and Coulometric Detection using Ultramicroelectrodes

Cláudia F. B. Coutinho; Lincoln F. M. Coutinho; Fernando M. Lanças; Carlos A. P. Câmara; Suzana L. Nixdorf; Luiz H. Mazo

How to cite this article

 

https://dx.doi.org/10.1590/S0103-50532008000100019

Published online: January 29, 2008

 

Share PDF   Supplementary Information 

Total access: 2064


J. Braz. Chem. Soc. 2008, 19(1), 140-149

Electronic Nature of the Aromatic Adamantanediyl Ions and its Analogues

Caio L. Firme; O. A. C. Antunes; Pierre M. Esteves

How to cite this article

 

https://dx.doi.org/10.1590/S0103-50532008000100020

Published online: January 29, 2008

 

Share PDF   Supplementary Information 

Total access: 2103


J. Braz. Chem. Soc. 2008, 19(1), 150-156

Electrochemical Oxidation of Oxalic Acid in the Presence of Halides at Boron Doped Diamond Electrode

C. A. Martínez-Huitle; S. Ferro; S. Reyna; M. Cerro-López; A. De Battisti; M. A. Quiroz

How to cite this article

 

https://dx.doi.org/10.1590/S0103-50532008000100021

Published online: January 30, 2008

 

Share PDF

Total access: 980


J. Braz. Chem. Soc. 2008, 19(1), 157-161

Computer-based Simulation of High-Temperature Corrosion Phenomena

Vicente Braz Trindade; Ulrich Krupp; Hans-Jürgen Christ

How to cite this article

 

https://dx.doi.org/10.1590/S0103-50532008000100022

Published online: January 30, 2008

 

Share PDF

Total access: 981


J. Braz. Chem. Soc. 2008, 19(1), 162-168

Development of a Potentiometric Flufenamate ISE and its Application to Pharmaceutical and Clinical Analyses

A. O. Santini; H. R. Pezza; J. E. de Oliveira; L. Pezza

How to cite this article

 

https://dx.doi.org/10.1590/S0103-50532008000100023

Published online: January 30, 2008

 

Share PDF

Total access: 1006


J. Braz. Chem. Soc. 2008, 19(1), 169-174

Preliminary Identification of the Bioremediation Limiting Factors of a Clay Bearing Soil Contaminated with Crude Oil

Andréa C. L. Rizzo; Claudia D. da Cunha; Ronaldo L. C. Santos; Renata M. Santos; Hugo M. Magalhães; Selma G. F. Leite; Adriana U. Soriano

How to cite this article

 

https://dx.doi.org/10.1590/S0103-50532008000100024

Published online: January 30, 2008

 

Share PDF

Total access: 1321


J. Braz. Chem. Soc. 2008, 19(1), 175-183

Determination of the pKa Values of some Biologically Active and Inactive Hydroxyquinones

Tadeusz Ossowski; Marília O. F. Goulart; Fabiane C. de Abreu; Antônio Euzébio G. Sant'Ana; Paulo Rogério B. Miranda; Cicero de Oliveira Costa; Adam Liwo; Piotr Falkowski; Dorota Zarzeczanska

How to cite this article

 

https://dx.doi.org/10.1590/S0103-50532008000100025

Published online: January 30, 2008

 

Share PDF

Total access: 1038


J. Braz. Chem. Soc. 2008, 19(1), 184-193

Efficient Synthesis of New 1-[Alkyl(aryl)]-5-(3,3,3-trihalo-2-oxopropylidene)pyrrolidin-2-ones

Alex F. C. Flores; Darlene C. Flores; Graciela Oliveira; Lucas Pizzuti; Rubia M. S. da Silva; Marcos A. P. Martins; Helio G. Bonacorso

How to cite this article

 

https://dx.doi.org/10.1590/S0103-50532008000100026

Published online: January 31, 2008

 

Share PDF

Total access: 1009


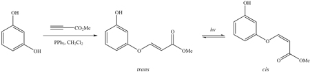
Short Reports J. Braz. Chem. Soc. 2008, 19(1), 194-198

Synthesis and Stereochemical Assignment of Methyl 3-(3-hydroxyphenoxy)acrylate via cis-trans Photoisomerization

Mirela Inês de Sairre; Luiz Felipe N. Araújo; Rosangela da Silva; Paulo Marcos Donate; Cristina A. Silvério; Laura T. Okano

How to cite this article

 

https://dx.doi.org/10.1590/S0103-50532008000100027

Published online: January 28, 2008

 

Share PDF

Total access: 1077


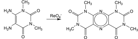
J. Braz. Chem. Soc. 2008, 19(1), 199-202

Oxidation of 5,6-Diamino-1,3-dimethyl-2,4-dioxopyrimidine by Perrhenate. The Crystal Structure of 1,3,6,8-Tetramethylpyrimidopteridine-2,4,5,7-tetrone

Irvin Booysen; Thomas I. A. Gerber; Peter Mayer

How to cite this article

 

https://dx.doi.org/10.1590/S0103-50532008000100028

Published online: January 30, 2008

 

Share PDF

Total access: 972

Online version ISSN 1678-4790 Printed version ISSN 0103-5053
Journal of the Brazilian Chemical Society
JBCS Editorial and Publishing Office
University of Campinas - UNICAMP
13083-970 Campinas-SP, Brazil

Free access

GN1